您好!欢迎来到化工e站网
登录
注册
发布供应信息
我的EWeb ▼
发布产品
产品管理
导航菜单 ▼
关于我们
中文 ▼
简体中文
产品
字典
氯化钾
|
乙二醇
|
碘甲烷
|
溴化亚铜
|
叔丁醇钾
|
DMAP
全部分类
∨
首页
Cas目录
产品分类
新闻资讯
医药中间体
无机化工
有机原料
原料药
染料及颜料
表面活性剂
香精与香料
化学试剂
食品添加剂
催化剂及助剂
分析化学
原料药中间体
OLED材料中间体
9-[1,1'-联苯]-3-基-3-溴-9H-咔唑
2-碘-9,9-二甲基芴
9,9-二甲基-2,7-二碘芴
(9-苯基-9H-咔唑-2-基)硼酸
2,6-bis(3-(9H-carbazol-9-yl)phenyl)pyridine
2-{[5-(1,3-二噁茚满-5-基)-1,2-噁唑-3-基]甲氧基}乙酸
3-苯基-9-苯基咔唑-6-硼酸频哪醇酯
N-(4-溴苯基)-N-苯基-1-萘胺
单质
铼粉
铑
钌催化剂
钐粉
金属钪
氢、氮、氧等工业气体
无机碱
氢氧化铯 溶液
碳酸钠(十水)
溴化钙
无机酸
氧化物和过氧化物
荧光素
非金属矿
羰基金属
目录导航
基本信息
物化性质
安全信息
生产及用途
上下游产品
相关产品
首页
化工产品目录
淫羊藿次甙E5
淫羊藿次甙E5
产品纠错
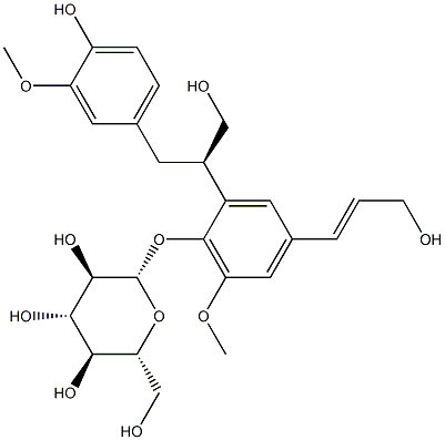
CAS号:126176-79-2
|
英文名称:Icariside E5
分子式
C
26
H
34
O
11
分子量
523
EINECS号
MDL
MFCD17214940
Smiles
InChIKey
淫羊藿次甙E5化学百科
基本信息
中文名称
ICARISIDE E5
英文名称
3-[4-β-D-Glucopyranosyloxy-5-methoxy-3-[2-(4-hydroxy-3-methoxyphenyl)-1-(hydroxymethyl)ethyl]phenyl]-2-propen-1-ol
CAS号
126176-79-2
分子式
C26H34O11
分子量
522.54
物化性质
安全信息
生产及用途
上下游产品
上游产品
共计:
0
个
下游产品
共计:
0
个
相关产品
CAS号:861691-37-4
荭草素-2〞-O-β-L-半乳糖苷
CAS号:502-61-4
金合欢烯,异构体混合物
CAS号:15183-37-6
雌四醇
CAS号:5289-74-7
20-羟基蜕皮甾酮
CAS号:33457-62-4
桤木酮
CAS号:71963-77-4
蒿甲醚(标准品)
CAS号:83-46-5
β-谷甾醇 , 来源于玉米
CAS号:20243-59-8
羟基芫花素
CAS号:109062-00-2
(2R)-3-[(2R,4S)-2α-Hydroxy-4β-(β-D-glucopyranosyloxy)-6,6-dimethylcyclohexane-1-ylidene]propenal
CAS号:98-55-5
alpha-松油醇
CAS号:473-15-4
β-桉叶醇
CAS号:740-33-0
荠苧黄酮
CAS号:75-04-7
乙胺
CAS号:9026-00-0
胆固醇酯酶 来源于猪胰腺
CAS号:473-08-5
α-香附酮
CAS号:861691-37-4
荭草素-2〞-O-β-L-半乳糖苷
CAS号:502-61-4
金合欢烯,异构体混合物
CAS号:15183-37-6
雌四醇
CAS号:5289-74-7
20-羟基蜕皮甾酮
CAS号:33457-62-4
桤木酮
CAS号:71963-77-4
蒿甲醚(标准品)
CAS号:83-46-5
β-谷甾醇 , 来源于玉米
CAS号:20243-59-8
羟基芫花素
CAS号:109062-00-2
(2R)-3-[(2R,4S)-2α-Hydroxy-4β-(β-D-glucopyranosyloxy)-6,6-dimethylcyclohexane-1-ylidene]propenal
CAS号:98-55-5
alpha-松油醇
CAS号:473-15-4
β-桉叶醇
CAS号:740-33-0
荠苧黄酮
CAS号:75-04-7
乙胺
CAS号:9026-00-0
胆固醇酯酶 来源于猪胰腺
CAS号:473-08-5
α-香附酮
产品供应商