阿利苯多(Alibendol),化学名为2-羟基-N-(2-羟乙基)-3-甲氧基-5-(2-丙烯基)苯甲酰胺,是一种优良的镇痉利胆药物。药理研究证明,其毒性低,与其他利胆药相比,阿利苯多的疗效更好,能促进胆汁的生成和分泌,该药不仅对消化不良有效,还对肝硬化、胆结石、胆囊切除后症后群、胆道运动障碍、肝炎等胆道器质性原因造成的消化不良也具有70%以上的改善效果。临床适用于胆囊及胆道功能失调,慢性胆囊炎,胆石症,胃弱、风疹、搔痒症、偏头痛、便秘等疾病。
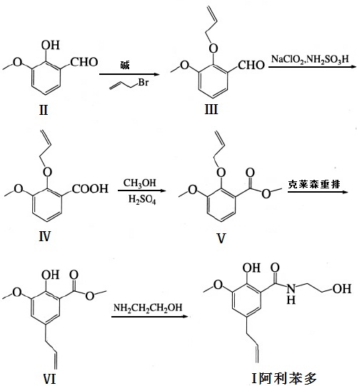
以邻香兰素( Ⅱ) 为原料,首先经过烯丙基化反应得到3-甲氧基-2-(2-丙烯氧基)苯甲醛(Ⅲ),然后用价廉易得的无机氧化剂亚氯酸钠和氨基磺酸在丙酮-水的混合溶剂中将醛氧化成相应的酸(Ⅳ),再经甲酯化反应得到3-甲氧基-2-( 2-丙烯氧基) 苯甲酸甲酯(Ⅴ),最后经重排和氨解反应得到目标产物-阿利苯多(Ⅰ)

图1为阿利苯多的合成路线
用于胆囊及胆道功能失调,慢性胆囊炎,胆石症,胃弱、风疹、搔痒症、偏头痛、便秘等疾病。
有关阿利苯多的合成路线、用途等是由Chemicalbook的侍艳编辑整理。(2015-12-28)
化学性质
结晶体。熔点95℃
用途
利胆剂,抗痉挛药。该药由法国Bouchara1981年上市。
生产方法
由2-羟基-3-甲氧基-5-烯丙基苯甲酸乙酯和乙醇胺反应得到。中间体2-羟基-3-甲氧基-5-烯丙基苯甲酸乙酯的制备方法可参阅J.Am .Chem.Soc.,71,1061(1949)