紫苏醇学名4-异丙烯基-1-环己烯甲醇,有似芳樟醇和松油醇味的稠粘油液,存在于姜草油、青柠檬油、拉文定油和留兰香等油中。因具有芳香味道,常被用作食用香精和添加剂的调配剂。紫苏醇作为一种治疗及预防癌症的单萜类药物,在肿瘤如卵巢肿瘤、食道癌、乳腺癌等的治疗方面有独到的治疗效果。
本条信息由ChemicalBook的张茜编辑整理。
粘稠油状液体。有似芳樟醇和松油醇气味。沸点118—121℃ (11×133.322Pa)。相对密度 0.9690。折光率1.4996 ,[α]D-7°。性质稳定, 耐热耐酸, 不易挥发。
紫苏醇以游离态或酯的形式天然存在于柑桔、樱桃、薄荷、香柠檬、姜草、杂薰衣草等多种植物中, 是植物甲醛、戊酸代谢途径产生的单萜化合物。原则上, 紫苏醇可从天然植物精油中单离获得, 如Row等采用有机溶剂或超临界CO2萃取提取紫苏醇。
虽然紫苏醇存在于多种天然植物精油中, 但因含量太低、分离不易而成本过高, 因此化学合成紫苏醇就显得尤为重要。有关紫苏醇的合成, 大多采用天然存在的单萜化合物为起始原料, 经合适的化学转化来进行的。
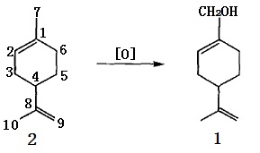
1、 苧烯氧化法
苧烯是柠檬油、甜橙油、香柠檬油、莳萝油等天然精油的主要成分, 因而其来源是相当丰富的 。从分子结构看, 苧烯与紫苏醇具完全相同的分子骨架结构( 图1) , 在适当的反应条件下, 苧烯可经氧化转化生成紫苏醇。

图1为苧烯的分子结构
空气或氧气对苧烯的氧化作用或催化氧化曾有广泛的研究, 二氧化硒也可对其进行选择性氧化。但由于苧烯氧化合成紫苏醇是对烯丙位的甲基氢进行氧化, 而苧烯分子中有5 种不同的烯丙位的氢( 如图1 所示的3、4、6、7和10 位上的氢) , 因而通常氧化反应的产物十分复杂, 紫苏醇的选择率很低。
2、β-蒎烯直接氧化法
Willing 等在含有氯化亚铜、苯甲酸铜的乙腈中用过氧化二苯甲酰氧化β-蒎烯, 获得主要产物反式香芹醇( 产率29. 4%) 和少量的紫苏醇。夏克坚等采用同样的方法进行β-蒎烯的氧化反应, 紫苏醇产率为73% 。南京林业大学程芝等用四乙酸铅作氧化剂, β-蒎烯经氧化或氧化酯化、皂化制得紫苏醇, 优化条件下紫苏醇收率可达45% 。直接氧化法所得紫苏醇产率太低, 且产物十分复杂, 难以分离提纯, 因此应用价值不大。
3、以α-蒎烯为原料合成
以α-蒎烯为原料(4)合成紫苏醇有2 种方法, 其一是以二氧化硒SeO2为氧化剂在醋酸-醋酐混合溶剂中发生烯丙位选择氧化或氧化-酯化反应, 生成桃金娘烯醇(5a)及其乙酸酯(5b),再经异构化、皂化即得1。

图2为α-蒎烯用SeO2 氧化合成紫苏醇
4、β-蒎烯环氧化物重排法
Bluthe 等利用β-蒎烯环氧化物( 6) 在汞离子存在下与水作用, 首先生成二醇, 再在稀硫酸催化下脱水后可定量地转化成紫苏醇; 这一方法在Sy-narome 等的一份专利中也有报导, 据称紫苏醇的得率可达98% , 但反应中硫酸汞的用量几乎是环氧蒎烷的一倍, 实为不足之处。β-蒎烯环氧化物在酯酸钠存在下与羧酸RCOOH ( R= H、Me、Et、t Pr) 反应可转化成醇和相应酯的混合物, 经水解可制得紫苏醇。
2, 10-环氧蒎烷的酸催化异构化是综合利用我国资源丰富的松节油中的β-蒎烯来合成紫苏醇的最有效的途径, 由于2, 10-环氧蒎烷可以很方便地由β-蒎烯经环氧化反应制备, 这也为β-蒎烯资源的综合利用提供了一条新途征( 图3) 。

图3为2, 10-环氧蒎烷在酸催化下的异构化反应
1、紫苏醇作为单体香料,是赋予枯茗香气、龙涎香气的化合物,可用于仿制柑橘、香草、水果型的食用香精,食品的赋香剂和酱油的防腐剂。
2、有机合成重要中间体,紫苏醇是合成紫苏醛、紫苏葶等的关键中间体。
3、合成植物生产调节剂、农用杀虫剂和昆虫拒食剂。
4、紫苏醇具有独特的药用效果,用于器官移植,可以降低同种异体移植物的排斥作用。
5、紫苏醇作为一种治疗及预防癌症的单萜类药物,具有广谱、高效、低毒的抗癌作用特点,在肿瘤,如卵巢肿瘤、食道癌、乳腺癌等的治疗方面有独到的治疗效果。
Perillyl alcohol 是一种单萜,从薰衣草,薄荷,樱桃等植物精油中分离出来。Perillyl alcohol 可在不影响正常细胞的情况下诱导肿瘤细胞凋亡 (apoptosis)。
|
Human Endogenous Metabolite
|