CasImg
正己基三甲氧基硅烷
产品纠错
CAS号:3069-19-0 | 英文名称:Hexyltrimethoxysilane
分子式 C9H22O3Si
分子量 206
EINECS号 221-331-9
MDL MFCD00039801
Smiles [Si](CCCCCC)(OC)(OC)OC
InChIKey CZWLNMOIEMTDJY-UHFFFAOYSA-N
乙二醇化学百科
基本信息
中文名称 正-己基三甲氧基硅烷
英文名称 N-HEXYLTRIMETHOXYSILANE
CAS号 3069-19-0
分子式 C9H22O3Si
分子量 206.35
EINECS号 221-331-9
物化性质
熔点 <0°C
沸点 202 °C
密度 0,92 g/cm3
蒸气压 6.7hPa at 25℃
折射率 1.4070
闪点 62°C
LogP 0.1-3.2 at 20℃
溶解度 不溶于水
形态 透明液体
颜色 无色至几乎无色
比重 0.911
水溶解性 284-600000mg/L at 20℃
水解敏感性 7: reacts slowly with moisture/water
敏感性 Moisture Sensitive
BRN 2347551
安全信息
危险类别码 36/38
安全说明 26-36/37/39-26/37
危险品运输编号 1993
TSCA Yes
海关编码 29319090
生产及用途
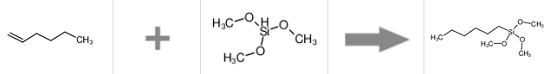
正-己基三甲氧基硅烷颜色透明至稻黄色液体,带有温和气味。正-己基三甲氧基硅烷是一种典型的硅烷偶联剂,分子中有一个含己烷使其表现出优异的理化性能,具有广泛的应用,如: 应用于尼龙、PBT 等工程塑料的加纤、填充等改性,可提高改性塑料的机械强度; 对硅微粉进行表面处理用于补强环氧树脂模塑料、环氧树脂砂浆、环氧树脂模具等; 替代巯基硅烷在建筑、玻璃用聚硫密封胶中使用,增粘效果好,避免了使用巯基硅烷时令人不适的臭味; 加入聚氨酯和胶乳类胶粘剂中,显著提高粘接力,不黄变、不影响产品储存期,使用效果优于氨基硅烷偶联剂。以三甲氧基硅烷 (TMSH) 和己烯为原料,通过硅氢加成反应合成正-己基三甲氧基硅烷,在氯铂酸配合物中加入两种助催化剂 (氮化合物和磷化合物) 来调整加成反应的选择性和反应速度。正-己基三甲氧基硅烷制备反应式如下图:

3069-19-0的合成

图1 正-己基三甲氧基硅烷制备反应式

方法一、

先用分子筛将各原料进行脱水干燥处理24 小时,称取69.2g(0.20 mol)己烯,0.692 g 催化剂(催化剂铂含量为 5000 ppm,Pt 与烯烃的质量比为 1:20000),29.8 g(0.22 mol)三甲氧基硅烷,催化剂与反应物要完全混合均匀,且保持干燥,与水隔离。高压釜内进行干燥处理,抽空。利用负压,将反应料吸入反应釜后密闭。加热升温至 120℃,保持 2 小时。反应过程中会放热,控制温差不超过 20℃。2 小时后将温度提高到 140℃,保持 2 小时,反应结束降至室温后出料,精馏提纯,对产物正己基三甲氧基硅烷进行气相分析。

方法二、

主要试剂及仪器

三甲氧基硅烷;己烯;氯铂酸;

集热式恒温加热磁力搅拌器: DF - 101S,气相色谱仪:GC-14D(上海精密科学仪器有限公司),气-质联用仪: HP -6890GC/5973MS(HP 公司)。

相关产品
产品供应商
Hexyltrimethoxysilane
询价
上海阿拉丁生化科技股份有限公司
2023-10-02

本网站展示的所有产品仅用于工业制造、技术研发、科学研究,所有产品非药品不可食用,依据国家相关法规及平台管理要求,购买相关危险物品应取得有效的资质、资格条件。 参考《应急管理部等多部门关于加强互联网销售危险化学品安全管理的通知 (应急〔2022〕119号)》 和《互联网危险物品信息发布管理规定》

Copyright © 2021-2025 chemhome123版权所有 |冀ICP备2024096099号- 1|冀公安备13042302000143号|互联网增值电信业务经营许可证:冀B2-20250121 |药品、 医疗器械互联网信息服务备案凭证备案号:(冀)-非经营性-2025-0099