CasImg
胆酸甲酯
产品纠错
CAS号:1448-36-8 | 英文名称:CHOLIC ACID METHYL ESTER
分子式 C25H42O5
分子量 423
EINECS号 215-903-7
MDL MFCD00064934
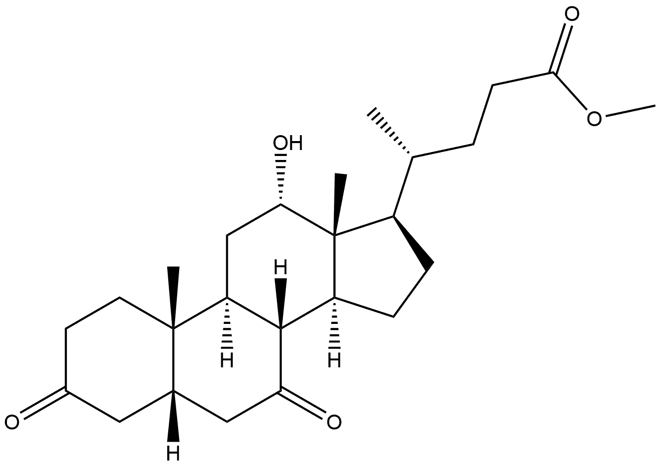
Smiles [C@@]12([H])[C@H](O)C[C@]3([H])C[C@H](O)CC[C@]3(C)[C@@]1([H])C[C@H](O)[C@]1(C)[C@H](CC[C@@]21[H])[C@H](C)CCC(=O)OC |&1:0,2,5,8,12,14,17,19,21,24,26,r|
InChIKey DLYVTEULDNMQAR-DMBVOUOSNA-N
乙二醇化学百科
基本信息
中文名称 胆酸甲酯
英文名称 CHOLIC ACID METHYL ESTER
CAS号 1448-36-8
分子式 C25H42O5
分子量 422.6
EINECS号 215-903-7
物化性质
熔点 155-156°C
沸点 541.6±50.0 °C(Predicted)
密度 1.141±0.06 g/cm3(Predicted)
溶解度 氯仿(少量溶解)、DMSO(少量溶解)、乙酸乙酯(少量溶解)、甲醇(少量溶解)
形态 固体
酸度系数(pKa) 14?+-.0.70(Predicted)
颜色 白色至类白色
水溶解性 Insoluble in water. Soluble in medium polarity organic solvents.
默克索引编号 14,2203
BRN 2226989
安全信息
危险品标志 Xi
安全说明 22-24/25
生产及用途
Methyl Cholate 是胆酸的甲酯形式。Cholic acid 是肝脏产生的主要胆汁酸之一,由胆固醇合成。
产品供应商
Methyl cholate
询价
上海阿拉丁生化科技股份有限公司
2023-10-02

本网站展示的所有产品仅用于工业制造、技术研发、科学研究,所有产品非药品不可食用,依据国家相关法规及平台管理要求,购买相关危险物品应取得有效的资质、资格条件。 参考《应急管理部等多部门关于加强互联网销售危险化学品安全管理的通知 (应急〔2022〕119号)》 和《互联网危险物品信息发布管理规定》

Copyright © 2021-2025 chemhome123版权所有 |冀ICP备2024096099号- 1|冀公安备13042302000143号|互联网增值电信业务经营许可证:冀B2-20250121 |药品、 医疗器械互联网信息服务备案凭证备案号:(冀)-非经营性-2025-0099