CasImg
4-甲硫基苯甲酸
产品纠错
CAS号:13205-48-6 | 英文名称:4-(METHYLTHIO)BENZOIC ACID
分子式 C8H8O2S
分子量 168
EINECS号 236-171-5
MDL MFCD00002555
Smiles C(O)(=O)C1=CC=C(SC)C=C1
InChIKey KWHCPERWLHBLOT-UHFFFAOYSA-N
乙二醇化学百科
基本信息
中文名称 4-甲硫基苯甲酸
英文名称 4-(METHYLTHIO)BENZOIC ACID
CAS号 13205-48-6
分子式 C8H8O2S
分子量 168.21
EINECS号 236-171-5
物化性质
熔点 192-196 °C(lit.)
沸点 319.0±25.0 °C(Predicted)
密度 1.28±0.1 g/cm3(Predicted)
LogP 2.740
形态 粉末晶体
酸度系数(pKa) 4.28±0.10(Predicted)
颜色 白色至浅黄色至浅橙色
BRN 2082809
安全信息
危险品标志 Xn
危险类别码 36/37/38-22
安全说明 22-24/25-37/39-26
WGK Germany 3
海关编码 29309090
生产及用途
苯甲酸类化合物4-甲硫基苯甲酸广泛用于食品、医药、染料等化工领域,其也是一类重要的有机合成中间体。

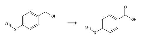
4-甲硫基苯甲酸的制备:

 4-甲硫基苯甲酸的合成路线

在10mL圆底烧瓶中,依次加入4-甲硫基苯甲醇0.77g,二乙二醇二甲醚2g,所得混合液在超声反应装置中,40KHz/30W/70℃超声辐射敞开反应30分钟。减压除去二乙二醇二甲醚,重结晶得4-甲硫基苯甲酸0.79g,产率95%。直接以4-甲硫基苯甲醇原料为起始物料,以廉价绿色、安全的空气为氧化剂,廉价的二乙二醇二甲醚为促进剂,无溶剂条件下合成所述的苯甲酸类化合物的环境友好型方法。

相关产品
产品供应商
4-(Methylthio)benzoic Acid
询价
上海阿拉丁生化科技股份有限公司
2023-10-02

本网站展示的所有产品仅用于工业制造、技术研发、科学研究,所有产品非药品不可食用,依据国家相关法规及平台管理要求,购买相关危险物品应取得有效的资质、资格条件。 参考《应急管理部等多部门关于加强互联网销售危险化学品安全管理的通知 (应急〔2022〕119号)》 和《互联网危险物品信息发布管理规定》

Copyright © 2021-2025 chemhome123版权所有 |冀ICP备2024096099号- 1|冀公安备13042302000143号|互联网增值电信业务经营许可证:冀B2-20250121 |药品、 医疗器械互联网信息服务备案凭证备案号:(冀)-非经营性-2025-0099