常见氧化剂----二氧化硒
【英文名称】Selenium Dioxide
【分子量】110.96
【CA登录号】[7446-08-4]
【缩写和别名】Selenium(IV) Oxide
【结构式】SeO2
【物理性质】mp 315 oC,d 3.950 g/cm3。溶于H2O和极性有机溶剂,经常在HOAc、CH2Cl2和1,4-二氧杂环己烷中使用。
【制备和商品】该试剂为白色固体,国内外试剂公司均有销售。
【注意事项】该试剂对空气和湿气稳定。由于具有剧毒,建议在通风橱中小心操作和使用。
二氧化硒在有机合成中主要被定义为氧化试剂,它参与的氧化反应有很多。可能由于该试剂毒性的原因,近些年来,许多反应逐渐被其它更优秀的试剂所取代。但是,二氧化硒与活性甲基、亚甲基和次甲基的氧化反应仍然在有机化学官能团转换中起到重要的作用。
二氧化硒对烯键致活的烯丙基位的氧化羟基化反应最具特色[1~4]。如果使用t-BuOOH作为共氧化剂的话,二氧化硒不仅可以减少到催化量,而且反应的条件也温和许多[2~4]。多数情况下,该反应在CH2Cl2 溶剂中室温下放置搅拌数小时或者数天即可完成 (式1)。

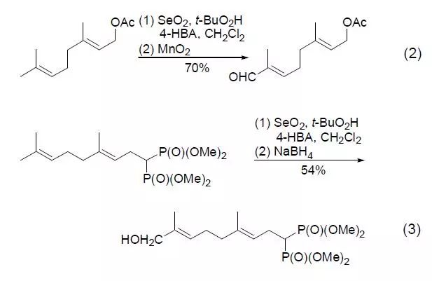
虽然早期研究显示,二氧化硒单独对烯丙基位氧化的活性次序是CH2 > CH3 > CH[5],但在SeO2-t-BuOOH体系中并非如此。许多时候,末端甲基可能是最先被氧化的对象,而且产物往往是生成醇和醛的混合物。所以,该反应可以与另一个氧化反应[6]或者还原反应[7]连续使用,得到单一的醛或者单一的醇 (式2,式3)。

在升温条件下或者回流条件下,二氧化硒的氧化能力得到明显的提高。可以将酮羰基α-位的甲基或者烯丙基位的甲基直接氧化成醛[8]。该反应在吡啶或者吡啶衍生物的反应中特别有意义,因为在此条件下吡啶环不受到明显的影响 (式4,式5)[9,10]。

免责声明:所载内容来源互联网,等公开渠道,我们对文中观点保持中立,仅供参考,交流之目的。转载的稿件版权归原作者和机构所有,如有侵权,请联系我们删除。
作者: