氮基团与有机物“变黄”之谜:为什么含氮化合物容易显色?
在有机化学实验与工业生产中,我们常会注意到一个现象:许多含有氮基团的化合物,无论是胺类、硝基化合物,还是杂环衍生物,往往在储存或使用过程中逐渐由无色转为黄色,甚至更深色泽。这一现象不仅影响产品外观,有时也暗示着物质可能发生了化学变化。今天,我们就来探讨这背后的科学原因。

一、结构决定性质:氮的电子特性与共轭效应
氮原子最外层具有孤对电子,这一特性使其容易与相邻的π体系(如芳环、双键)发生共轭,形成扩展的共轭结构。共轭体系的形成通常会降低分子的能量跃迁门槛,使其紫外-可见吸收光谱发生“红移”——即吸收波段向长波方向移动。当吸收范围覆盖到可见光区的蓝紫光部分时,互补色(黄、橙)便显现出来,从而使物质在外观上呈现黄色调
许多芳香胺类化合物因其氨基与苯环的p-π共轭,天生就带有浅黄色;而硝基苯等硝基芳烃,因硝基的强吸电子共轭效应,本身便是明显的黄色。

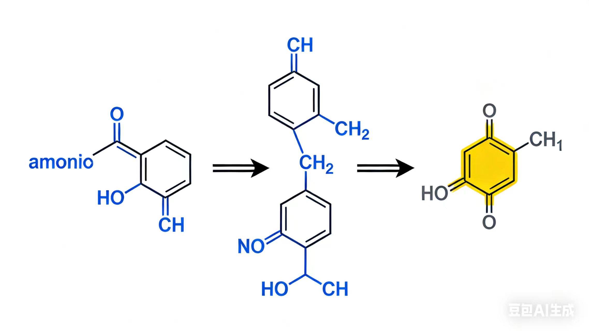
二、不稳定性:容易被氧化或降解
含氮基团(尤其是伯胺、仲胺)通常化学性质较为活泼,在空气中氧气、光照或受热条件下容易发生氧化反应。氧化产物可能包括亚胺、醌胺结构或偶氮类化合物,这些物质往往具有颜色。
典型的例子是苯胺:纯净苯胺为微黄色透明液体,长期接触空气和光线后,会因氧化生成苯醌亚胺等有色聚合物而颜色加深。同样,常用溶剂N,N-二甲基甲酰胺(DMF)在放置或受热后也可能因分解产生二甲胺等,进一步氧化或反应生成黄色杂质。

三、副反应与杂质:偶氮化、聚合与分解
在合成或储存过程中,含氮有机物可能发生缓慢的偶氮耦合、聚合或水解等副反应,生成有色副产物。即便这些有色杂质的含量极低(有时仅为痕量),也足以让整个样品显色。例如,某些胺类化合物在酸性或金属离子存在下,可能经偶氮化生成黄至橙红色的偶氮染料;含腙、肟等基团的化合物也常因结构互变或分解而产生颜色。

四、含氮杂环的“本色”
许多氮杂环化合物(如吡啶、喹啉、吲哚及其衍生物)本身由于环内氮原子参与共轭,其紫外吸收已延伸至可见光区,因此常呈淡黄色。若环上再有氨基、硝基等取代基,共轭体系进一步扩大,颜色可能更加明显。

五、紫外-可见吸收特性:从“看不见”到“看得见”
从光谱学角度看,多数含氮基团的引入会使分子的最高占据轨道与最低未占据轨道之间的能级差减小,导致其紫外吸收边界的波长增加。当这一边界越过约400 nm(即进入可见光区),物质便开始显现人眼可察觉的颜色。许多含氮有机物在280–450 nm区间有较强吸收,这正是其外观偏黄的原因之一。

免责声明:本站所有信息均来源于互联网搜集,并不代表本站观点,本站不对其真实合法性负责。如有信息侵犯了您的权益,请告知,本站将立刻删除。
作者: