常用试剂----三氟乙酸
【英文名称】Trifluoroacetic Acid
【分子式】 C2HF3O2
【分子量】114.02
【CA登录号】[76-05-11]
【缩写和别名】TFA
【结构式】CF3CO2H
【物理性质】bp 72 oC, mp -15.4 oC, d 1.480g/cm3,pKa 0.23 (25 oC,H2O)。三氟乙酸和水可以形成共沸物,其沸点和组分分别为:bp 105.5 oC, 含水20.8%,含三氟乙酸79.2%。它易溶于水和大多数有机溶剂,但在烷烃(特别是多于6 个碳的烷烃)和二硫化碳中的溶解度有限。
【制备和商品】该试剂是一种无色透明的液体,国内外大多数化学试剂公司均有销售。放置时间久了,会吸水,使用前可先加入少量的三氟乙酸酐或五氧化二磷回流,再蒸馏纯化。
【注意事项】该试剂是一类有机强酸,具有吸湿性和严重的腐蚀性,特别是对黏膜组织具有很强的损伤性,要避免吸入呼吸道。操作时应该在通风橱中进行,佩戴橡胶手套,防止接触性腐蚀,最好佩戴呼吸器。储存和使用时严禁和碱性溶剂或者对酸敏感的物质混合,三氟乙酸遇到高锰酸钾时发生剧烈爆炸!
三氟乙酸(TFA) 是一种化学实验室常用的有机酸,由于羧基的邻位碳上连有3个比较强的电负性基团氟原子,使羧酸根的亲核性大为降低,因此三氟乙酸常用来作溶剂,来研究反应的溶剂效应。三氟乙酸的沸点比较低,挥发性好,并且酸性强,因此它可以催化很多酸催化的化学反应,并且后处理比较容易,可以通过减压蒸馏而除去。此外,三氟乙酸可以参与氧化反应[1]、还原反应[2]、重排反应[3,4]和去保护基团[5]等。
一、催化重排反应
三氟乙酸可作为很多重排反应的催化剂,例如,它可以催化环氧化合物的开环、Cope重排[3,4] (式1) 等化学反应。

二、引入三氟甲基
三氟甲基是亲脂性好,电负性强的基团,它在生物活性分子中具有特殊的作用。利用三氟乙酸可以在一些化合物分子中引入三氟甲基(式2,式3)[6,7]。

三、羧酸酯的合成
三氟乙酸酐与过氧化氢反应生成过氧三氟乙酸,利用它可以使一些酮
发生Baeyer-Villiger 氧化反应,生成相应的羧酸酯 (式4)[8]。

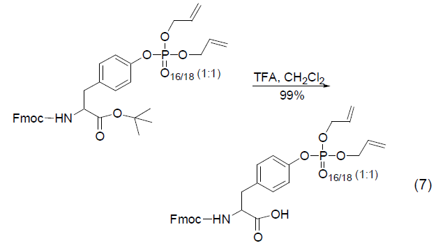
四、去保护试剂
在有机反应中,为了选择性地使某一反应进行,而保留其它比较活泼
的化学基团(如氨基、羟基等),常常需要利用一些保护基团对其进行保护。三氟乙酸可以比较方便地脱去氨基、羟基的保护基团[5],例如,N-苄氧羰基、N-甲氧甲基 (式5)、N-叔丁氧羰基 (式6)[9]、O-叔丁氧羰基 (式7)[10]、N-苄氧甲基等。


用于Duff反应, 富电子芳香族化合物在三氟乙酸存在下与六亚甲基四胺反应,可以得到高产率的芳醛。
免责声明:所载内容来源互联网,我们对文中观点保持中立,仅供参考,交流之目的。转载的稿件版权归原作者和机构所有,如有侵权,请联系我们删除。