| 中文名称 | 阿糖腺苷 |
| 英文名称 | Vidarabine |
| CAS号 | 5536-17-4 |
| 分子式 | C10H13N5O4 |
| 分子量 | 267.25 |
| EINECS号 | 226-893-9 |
| 熔点 | 260-265 °C (dec.) |
| 比旋光度 | D27 -5° (c = 0.25) |
| 沸点 | 410.43°C (rough estimate) |
| 密度 | 1.3382 (rough estimate) |
| 折射率 | 1.7610 (estimate) |
| LogP | -0.755 (est) |
| 溶解度 | DMSO(稍微加热) |
| 形态 | 粉末 |
| 酸度系数(pKa) | pKa 3.55(H2Ot=20I=0.1 (KCl)) (Uncertain);11.4 (Uncertain) |
| 颜色 | 白色至类白色 |
| 水溶解性 | Soluble in DMF (10 mg/ml), 0.5 M HCl (50 mg/ml), DMSO (53 mg/ml at 25°C), ethanol (<1 mg/ml at 25°C), and water (3 mg/ml at 25°C). |
| 默克索引编号 | 13,10039 |
| BRN | 624881 |
| 危险品标志 | Xn,Xi |
| 危险类别码 | 63-36/37/38 |
| 安全说明 | 36/37-36-26 |
| 危险品运输编号 | 2811 |
| WGK Germany | 3 |
| RTECS号 | AU6200000 |
| TSCA | Yes |
| 海关编码 | 29349990 |
| 危险等级 | 6.1(a) |
| 包装类别 | II |
| 毒害物质数据 | 5536-17-4(Hazardous Substances Data) |
| 毒性 | LD50 in mice (mg/kg): 4677 i.p.; >7950 orally (Kurtz) |

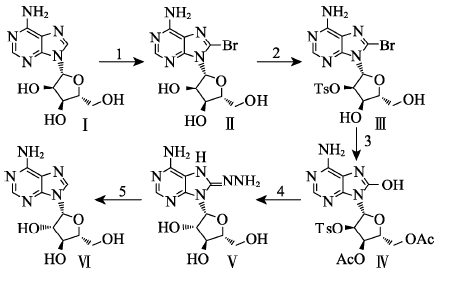
1)8-溴腺苷(Ⅱ)合成
在250mL反应瓶中,依次加入水(180g)、腺苷Ⅰ(0.037mol,10g)、乙酸(10g)和乙酸钠(2.4g),升温至75℃,搅拌至溶液澄清(约0.5h)后降温至30℃,加入溴素(0.044mol,7.1g),在30℃下继续反应48h。反应结束后,将反应体系冷却至室温,过滤,滤饼水洗,干燥,即得黄色产物Ⅱ,产量11.3g,产率88.3%,HPLC纯度为98.8%。
2)8-溴-3‘-O-对甲苯磺酰腺苷(Ⅲ)合成
在250mL反应瓶中,加入Ⅱ(0.029mol,10g)、1,2-二氯乙烷(110g)、三乙胺(0.032mol,3.2g)、二丁基氧化锡(0.004mol,1g)、对甲苯磺酰氯(0.032mol,6.3g),在40℃反应18h,趁热过滤回收二丁基氧化锡,滤液降至室温,析出产物Ⅲ,过滤得粗品,常温下将粗品用甲醇打浆后在50℃下烘干,得淡黄色粉末13.2g,产率90.0%,HPLC纯度为99.2%。
3)8-羟基-4¢-乙酰氧基-5¢-乙酰氧甲基-3¢-O-对甲苯磺酰腺苷(Ⅳ)合成
在100mL反应瓶中,加入Ⅲ(0.02mol,10g)、乙酸(0.14mol,8.3g)、乙酸酐(0.21mol,21g),升温至80℃回流8h,然后减压蒸馏除去未参与反应的乙酸酐,剩余物质冷却至室温后加入水(5g),充分搅拌后过滤,得Ⅳ粗品,将粗品用甲醇打浆后过滤,50℃下烘干,得9.4g纯品,产率88.0%,HPLC纯度为98.4%。
4)阿糖腺苷(Ⅵ)合成
在100mL反应瓶中,加入Ⅳ(0.019mol,10g)和质量分数为80%的水合肼(12g),升温至80℃保温反应48h后,减压蒸除大量的水合肼,向反应瓶中加入10g60℃的热水,继续减压蒸馏,带出残留在釜中的水合肼,剩余固体即8-肼基阿糖腺苷Ⅴ粗品。在同一反应瓶中,继续向得到的8-肼基阿糖腺苷粗品中加入水(50.8g)和高锰酸钾(0.004mol,0.6g),25℃下搅拌反应24h。反应液过滤后得到的固体即为阿糖腺苷Ⅵ粗品,粗品中加水和活性炭,加热煮沸脱色后,趁热过滤除活性炭,滤液冷却析出固体,过滤,50℃下烘干,得阿糖腺苷纯品3.4g,收率67.0%,HPLC纯度为99.3%,烘箱法测定挥发分为0.3%。
阿糖腺苷是抗脱氧核糖核酸(DNA)病毒药。主要通过抑制病毒的DNA多聚酶,阻断病毒DNA的合成,达到抑制病毒的作用,只对DNA病毒如单纯胞疹病毒1型和2型、带状疱疹病毒、水痘病毒、巨细胞病毒、乙型肝炎病毒具有抗病毒活性。但是,阿糖腺苷在体内被代谢为阿糖次黄嘌呤,使其抗病毒活性降低。目前,我国批准的阿糖腺苷适应症是胞疹病毒感染所致的口炎、皮炎、脑炎及巨细胞病毒感染。