您好!欢迎来到化工e站网
登录
注册
发布供应信息
我的EWeb ▼
发布产品
产品管理
导航菜单 ▼
关于我们
中文 ▼
简体中文
产品
字典
氯化钾
|
乙二醇
|
碘甲烷
|
溴化亚铜
|
叔丁醇钾
|
DMAP
全部分类
∨
首页
Cas目录
产品分类
新闻资讯
医药中间体
无机化工
有机原料
原料药
染料及颜料
表面活性剂
香精与香料
化学试剂
食品添加剂
催化剂及助剂
分析化学
原料药中间体
OLED材料中间体
2,6-bis(3-(9H-carbazol-9-yl)phenyl)pyridine
2-{[5-(1,3-二噁茚满-5-基)-1,2-噁唑-3-基]甲氧基}乙酸
3-苯基-9-苯基咔唑-6-硼酸频哪醇酯
N-(4-溴苯基)-N-苯基-1-萘胺
9-[1,1'-联苯]-3-基-3-溴-9H-咔唑
2-碘-9,9-二甲基芴
9,9-二甲基-2,7-二碘芴
(9-苯基-9H-咔唑-2-基)硼酸
单质
铑
钌催化剂
钐粉
金属钪
铼粉
氢、氮、氧等工业气体
无机碱
氢氧化铯 溶液
碳酸钠(十水)
溴化钙
无机酸
氧化物和过氧化物
荧光素
非金属矿
羰基金属
目录导航
基本信息
物化性质
安全信息
生产及用途
上下游产品
相关产品
首页
化工产品目录
生物化工
提取物
植物提取物
16Α-羟基松苓新酸
16Α-羟基松苓新酸
产品纠错
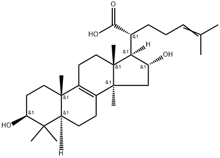
CAS号:176390-66-2
|
英文名称:16α-Hydroxydehydrotrametenolic acid
分子式
C
30
H
46
O
4
分子量
471
EINECS号
2017-001-1
MDL
MFCD31560812
Smiles
InChIKey
16Α-羟基松苓新酸化学百科
基本信息
中文名称
16Α-羟基松苓新酸
英文名称
16α-Hydroxydehydrotrametenolic acid
CAS号
176390-66-2
分子式
C30H46O4
分子量
470.68
EINECS号
2017-001-1
物化性质
安全信息
生产及用途
生物活性
16α-Hydroxydehydrotrametenolic acid 是多孔菌科真菌茯苓 (Poria cocos) 菌丝体中发酵的一种三萜酸。
化学性质
白色粉末,溶于甲醇,乙醇,微溶于水,不溶于乙酸乙酯,来源于茯苓。
用途
用于含量测定/鉴定/药理实验等
上下游产品
上游产品
共计:
0
个
下游产品
共计:
0
个
相关产品
CAS号:137551-38-3
茯苓新酸A
CAS号:168293-13-8
3-O-Acetyl-16 alpha-hydroxytrametenolic acid
CAS号:99-96-7
4-羟基苯甲酸
CAS号:1260252-18-3
11-O-异丁酰基-12-O-乙酰基通关藤甘元-β-3-O-茯苓二糖基 , 来源于通关藤
CAS号:83725-24-0
坡模酸-28-O-β-D-吡喃葡萄糖酯 , 来源于枸骨
CAS号:120-47-8
尼泊金乙酯
CAS号:29070-92-6
茯苓酸
CAS号:77012-31-8
去氢茯苓酸
CAS号:6754-16-1
去氢土莫酸
CAS号:176390-68-4
16α-Hydroxytrametenolic acid
CAS号:168293-14-9
3-O-乙酰基-16Α-羟基松苓新酸
CAS号:137551-39-4
茯苓酸B
CAS号:137551-38-3
茯苓新酸A
CAS号:168293-13-8
3-O-Acetyl-16 alpha-hydroxytrametenolic acid
CAS号:99-96-7
4-羟基苯甲酸
CAS号:1260252-18-3
11-O-异丁酰基-12-O-乙酰基通关藤甘元-β-3-O-茯苓二糖基 , 来源于通关藤
CAS号:83725-24-0
坡模酸-28-O-β-D-吡喃葡萄糖酯 , 来源于枸骨
CAS号:120-47-8
尼泊金乙酯
CAS号:29070-92-6
茯苓酸
CAS号:77012-31-8
去氢茯苓酸
CAS号:6754-16-1
去氢土莫酸
CAS号:176390-68-4
16α-Hydroxytrametenolic acid
CAS号:168293-14-9
3-O-乙酰基-16Α-羟基松苓新酸
CAS号:137551-39-4
茯苓酸B
产品供应商