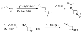
N-Boc-3-羟基氮杂环丁烷可作为医药合成中间体,可由环氧氯丙烷和叔丁胺为反应原料通过四步制备而得。
4-溴-2-氟苯甲醛在常温常压下为淡黄/褐色固体状,其化学性质较为稳定,一般不会分解,但是4-溴-2-氟苯甲醛结构中含有活泼的醛基结构,容易在空气的氧化作用下变成羧酸而变质。
4-溴-2-氟苯甲醛属于苯甲醛类衍生物,可用作有机合成,医药化学中间体,可用于药物分子,农药分子和生物活性分子的制备和衍生化。
N-Boc-3-羟基氮杂环丁烷可用于制备另一医药中间体N-Boc-3-氮杂环丁酮。

化学性质
白色固体