您好!欢迎来到化工e站网 登录 注册
我的EWeb ▼
导航菜单 ▼
中文 ▼
医药中间体
无机化工
有机原料
原料药
染料及颜料
表面活性剂
香精与香料
化学试剂
食品添加剂
催化剂及助剂
分析化学
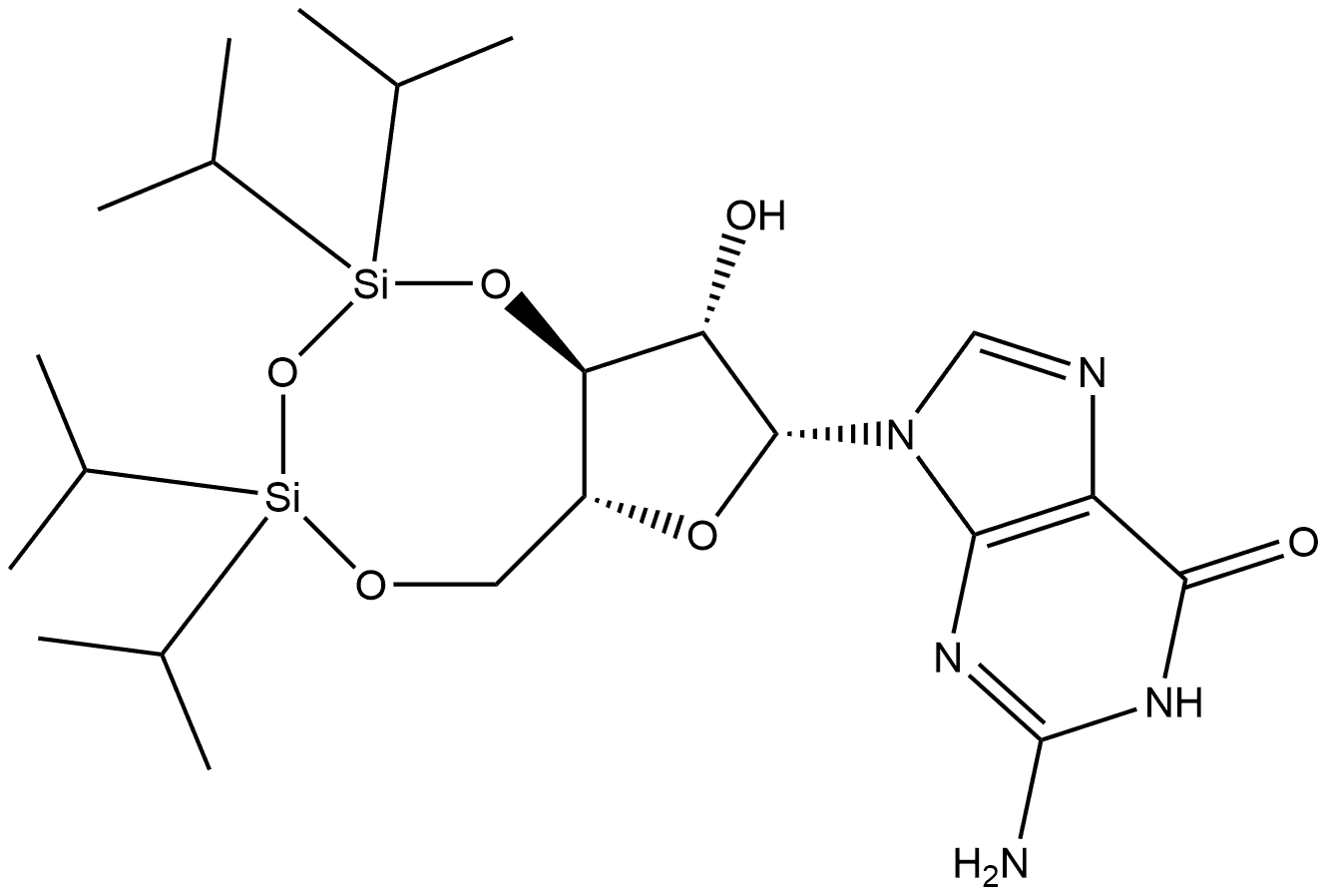
首页 化工产品目录 6H-Purin-6-one, 2-amino-1,9-dihydro-9-[3,5-O-[1,1,3,3-tetrakis(1-methylethyl)-1,3-disiloxanediyl]-β-D-arabinofuranosyl]-
129835-17-2
6H-Purin-6-one, 2-amino-1,9-dihydro-9-[3,5-O-[1,1,3,3-tetrakis(1-methylethyl)-1,3-disiloxanediyl]-β-D-arabinofuranosyl]-
产品纠错
CAS号:129835-17-2 | 英文名称:6H-Purin-6-one, 2-amino-1,9-dihydro-9-[3,5-O-[1,1,3,3-tetrakis(1-methylethyl)-1,3-disiloxanediyl]-β-D-arabinofuranosyl]-
分子式 C22H39N5O6Si2
分子量
EINECS号
MDL
Smiles
InChIKey
6H-Purin-6-one, 2-amino-1,9-dihydro-9-[3,5-O-[1,1,3,3-tetrakis(1-methylethyl)-1,3-disiloxanediyl]-β-D-arabinofuranosyl]-化学百科
基本信息
中文名称 //
英文名称 6H-Purin-6-one, 2-amino-1,9-dihydro-9-[3,5-O-[1,1,3,3-tetrakis(1-methylethyl)-1,3-disiloxanediyl]-β-D-arabinofuranosyl]-
CAS号 129835-17-2
分子式 C22H39N5O6Si2
分子量 525.75
物化性质
安全信息
生产及用途
上下游产品
上游产品共计:0
下游产品共计:0
相关产品
产品供应商