您好!欢迎来到化工e站网 登录 注册
我的EWeb ▼
导航菜单 ▼
中文 ▼
医药中间体
无机化工
有机原料
原料药
染料及颜料
表面活性剂
香精与香料
化学试剂
食品添加剂
催化剂及助剂
分析化学
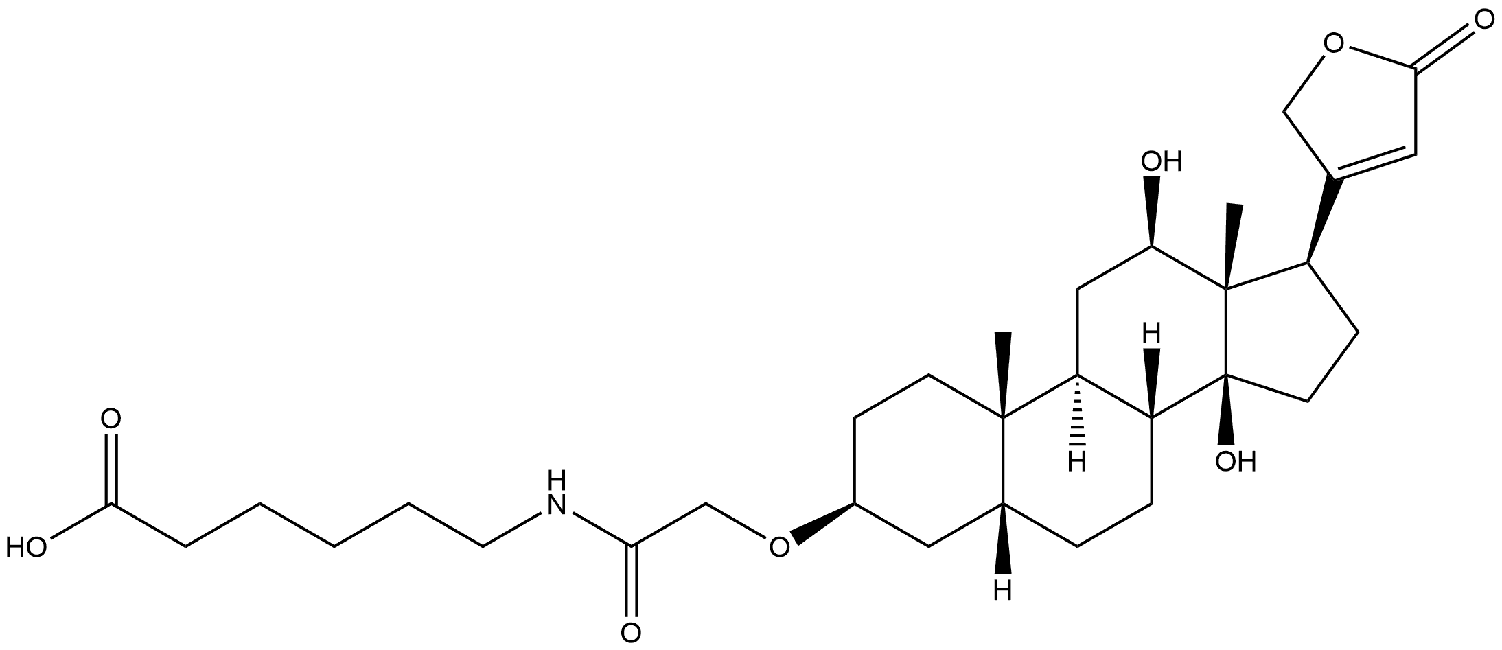
首页 化工产品目录 (3β,5β,12β)-3-[2-[(5-Carboxypentyl)amino]-2-oxoethoxy]-12,14-dihydroxycard-20(22)-enolide
129273-23-0
(3β,5β,12β)-3-[2-[(5-Carboxypentyl)amino]-2-oxoethoxy]-12,14-dihydroxycard-20(22)-enolide
产品纠错
CAS号:129273-23-0 | 英文名称:(3β,5β,12β)-3-[2-[(5-Carboxypentyl)amino]-2-oxoethoxy]-12,14-dihydroxycard-20(22)-enolide
分子式 C31H47NO8
分子量 562
EINECS号
MDL
Smiles
InChIKey
(3β,5β,12β)-3-[2-[(5-Carboxypentyl)amino]-2-oxoethoxy]-12,14-dihydroxycard-20(22)-enolide化学百科
基本信息
物化性质
安全信息
生产及用途
上下游产品
上游产品共计:0
下游产品共计:0
相关产品
产品供应商