您好!欢迎来到化工e站网 登录 注册
我的EWeb ▼
导航菜单 ▼
中文 ▼
医药中间体
无机化工
有机原料
原料药
染料及颜料
表面活性剂
香精与香料
化学试剂
食品添加剂
催化剂及助剂
分析化学
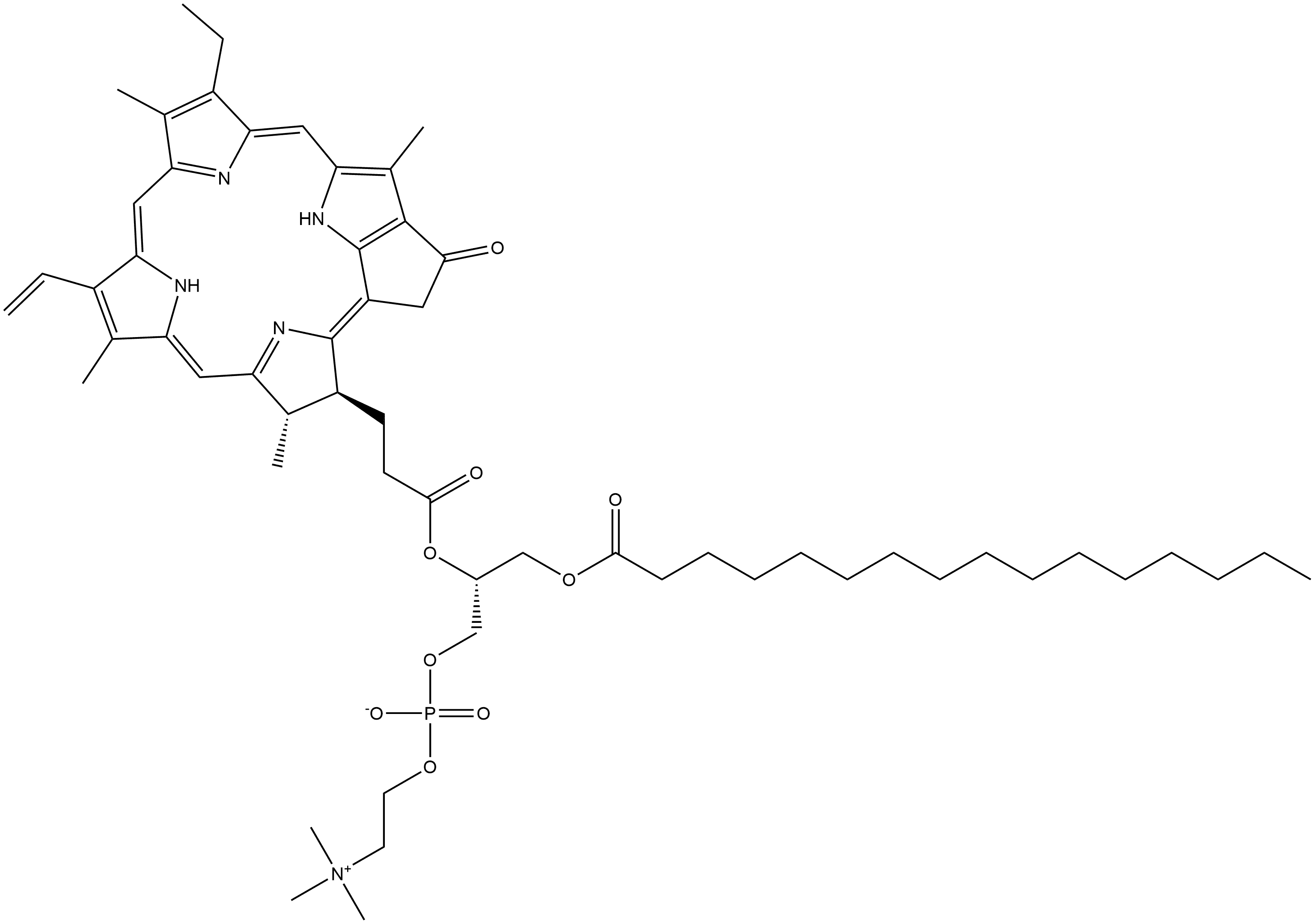
首页 化工产品目录 3,5,9-Trioxa-4-phosphapentacosan-1-aminium, 7-[3-[(3S,4S)-9-ethenyl-14-ethyl-4,8,13,18-tetramethyl-20-oxo-3-phorbinyl]-1-oxopropoxy]-4-hydroxy-N,N,N-trimethyl-10-oxo-, inner salt, 4-oxide, (7R)-
1287795-07-6
3,5,9-Trioxa-4-phosphapentacosan-1-aminium, 7-[3-[(3S,4S)-9-ethenyl-14-ethyl-4,8,13,18-tetramethyl-20-oxo-3-phorbinyl]-1-oxopropoxy]-4-hydroxy-N,N,N-trimethyl-10-oxo-, inner salt, 4-oxide, (7R)-
产品纠错
CAS号:1287795-07-6 | 英文名称:3,5,9-Trioxa-4-phosphapentacosan-1-aminium, 7-[3-[(3S,4S)-9-ethenyl-14-ethyl-4,8,13,18-tetramethyl-20-oxo-3-phorbinyl]-1-oxopropoxy]-4-hydroxy-N,N,N-trimethyl-10-oxo-, inner salt, 4-oxide, (7R)-
分子式
分子量
EINECS号
MDL
Smiles
InChIKey
3,5,9-Trioxa-4-phosphapentacosan-1-aminium, 7-[3-[(3S,4S)-9-ethenyl-14-ethyl-4,8,13,18-tetramethyl-20-oxo-3-phorbinyl]-1-oxopropoxy]-4-hydroxy-N,N,N-trimethyl-10-oxo-, inner salt, 4-oxide, (7R)-化学百科
基本信息
中文名称 3,5,9-Trioxa-4-phosphapentacosan-1-aminium, 7-[3-[(3S,4S)-9-ethenyl-14-ethyl-4,8,13,18-tetramethyl-20-oxo-3-phorbinyl]-1-oxopropoxy]-4-hydroxy-N,N,N-trimethyl-10-oxo-, inner salt, 4-oxide, (7R)-
英文名称 3,5,9-Trioxa-4-phosphapentacosan-1-aminium, 7-[3-[(3S,4S)-9-ethenyl-14-ethyl-4,8,13,18-tetramethyl-20-oxo-3-phorbinyl]-1-oxopropoxy]-4-hydroxy-N,N,N-trimethyl-10-oxo-, inner salt, 4-oxide, (7R)-
CAS号 1287795-07-6
分子式 C57H82N5O9P
分子量 1012.27
物化性质
安全信息
生产及用途
上下游产品
上游产品共计:0
下游产品共计:0
相关产品
产品供应商