您好!欢迎来到化工e站网 登录 注册
我的EWeb ▼
导航菜单 ▼
中文 ▼
医药中间体
无机化工
有机原料
原料药
染料及颜料
表面活性剂
香精与香料
化学试剂
食品添加剂
催化剂及助剂
分析化学
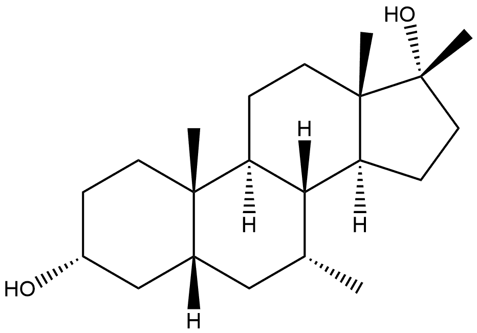
首页 化工产品目录 Androstane-3,17-diol, 7,17-dimethyl-, (3α,5β,7α,17α)-
1173997-86-8
Androstane-3,17-diol, 7,17-dimethyl-, (3α,5β,7α,17α)-
产品纠错
CAS号:1173997-86-8 | 英文名称:Androstane-3,17-diol, 7,17-dimethyl-, (3α,5β,7α,17α)-
分子式 C21H36O2
分子量 321
EINECS号
MDL
Smiles
InChIKey
Androstane-3,17-diol, 7,17-dimethyl-, (3α,5β,7α,17α)-化学百科
基本信息
中文名称 Androstane-3,17-diol, 7,17-dimethyl-, (3α,5β,7α,17α)-
英文名称 Androstane-3,17-diol, 7,17-dimethyl-, (3α,5β,7α,17α)-
CAS号 1173997-86-8
分子式 C21H36O2
分子量 320.51
物化性质
安全信息
生产及用途
上下游产品
上游产品共计:0
下游产品共计:0
相关产品
产品供应商