您好!欢迎来到化工e站网 登录 注册
我的EWeb ▼
导航菜单 ▼
中文 ▼
医药中间体
无机化工
有机原料
原料药
染料及颜料
表面活性剂
香精与香料
化学试剂
食品添加剂
催化剂及助剂
分析化学
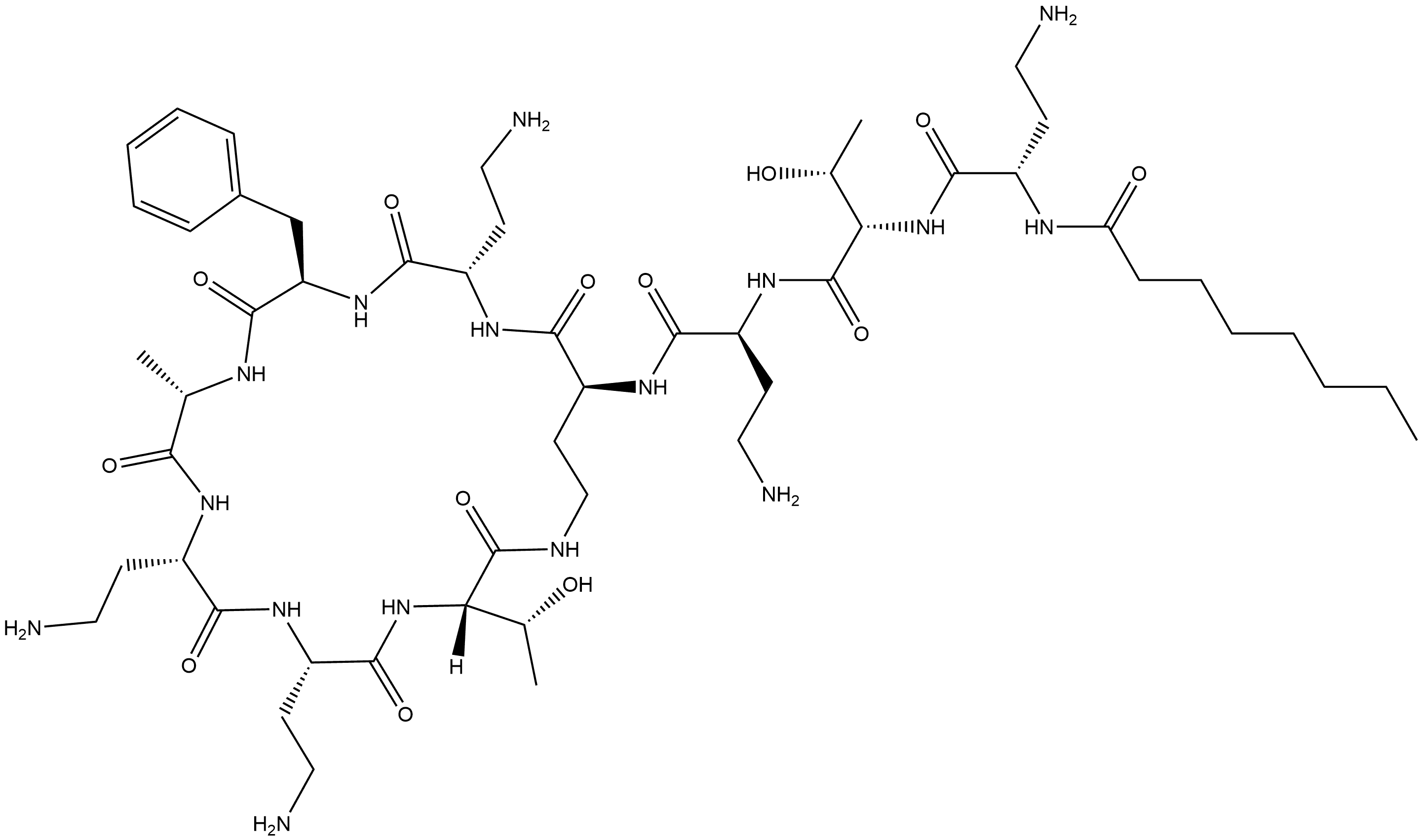
首页 化工产品目录 Polymyxin B1, 1-[(2S)-4-amino-2-[(1-oxooctyl)amino]butanoic acid]-7-L-alanine-
1173923-64-2
Polymyxin B1, 1-[(2S)-4-amino-2-[(1-oxooctyl)amino]butanoic acid]-7-L-alanine-
产品纠错
CAS号:1173923-64-2 | 英文名称:Polymyxin B1, 1-[(2S)-4-amino-2-[(1-oxooctyl)amino]butanoic acid]-7-L-alanine-
分子式
分子量
EINECS号
MDL
Smiles
InChIKey
Polymyxin B1, 1-[(2S)-4-amino-2-[(1-oxooctyl)amino]butanoic acid]-7-L-alanine-化学百科
基本信息
中文名称 Polymyxin B1, 1-[(2S)-4-amino-2-[(1-oxooctyl)amino]butanoic acid]-7-L-alanine-
英文名称 Polymyxin B1, 1-[(2S)-4-amino-2-[(1-oxooctyl)amino]butanoic acid]-7-L-alanine-
CAS号 1173923-64-2
分子式 C52H90N16O13
分子量 1147.37
物化性质
安全信息
生产及用途
上下游产品
上游产品共计:0
下游产品共计:0
相关产品
产品供应商