您好!欢迎来到化工e站网 登录 注册
我的EWeb ▼
导航菜单 ▼
中文 ▼
医药中间体
无机化工
有机原料
原料药
染料及颜料
表面活性剂
香精与香料
化学试剂
食品添加剂
催化剂及助剂
分析化学
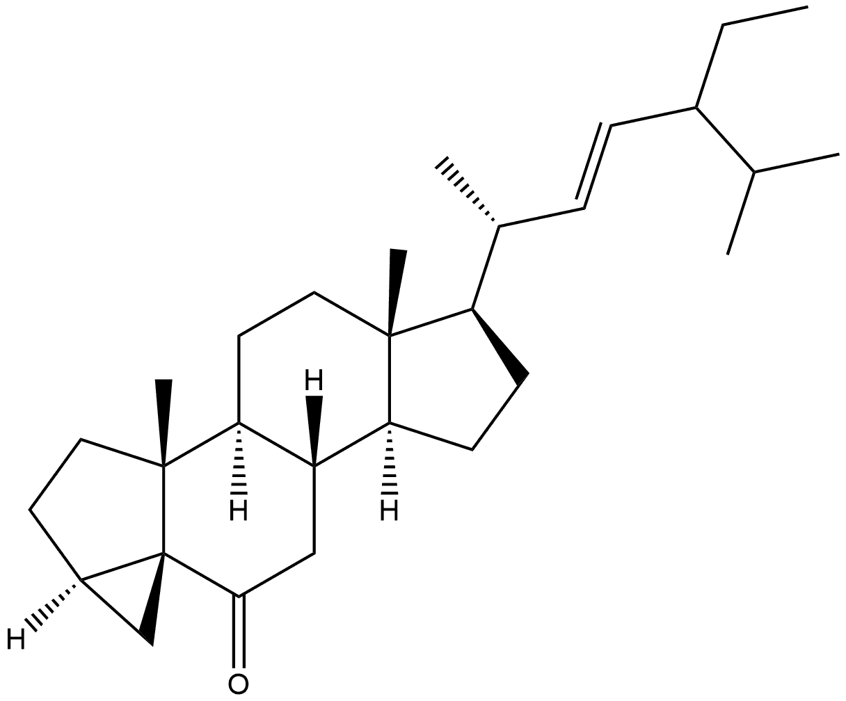
首页 化工产品目录 3,5-Cyclostigmast-22-en-6-one, (3α,5R,22E,24ξ)-
116405-09-5
3,5-Cyclostigmast-22-en-6-one, (3α,5R,22E,24ξ)-
产品纠错
CAS号:116405-09-5 | 英文名称:3,5-Cyclostigmast-22-en-6-one, (3α,5R,22E,24ξ)-
分子式 C29H46O
分子量
EINECS号
MDL
Smiles
InChIKey
3,5-Cyclostigmast-22-en-6-one, (3α,5R,22E,24ξ)-化学百科
基本信息
中文名称 3,5-Cyclostigmast-22-en-6-one, (3α,5R,22E,24ξ)-
英文名称 3,5-Cyclostigmast-22-en-6-one, (3α,5R,22E,24ξ)-
CAS号 116405-09-5
分子式 C29H46O
分子量 410.67
物化性质
安全信息
生产及用途
上下游产品
上游产品共计:0
下游产品共计:0
相关产品
产品供应商