您好!欢迎来到化工e站网 登录 注册
我的EWeb ▼
导航菜单 ▼
中文 ▼
医药中间体
无机化工
有机原料
原料药
染料及颜料
表面活性剂
香精与香料
化学试剂
食品添加剂
催化剂及助剂
分析化学
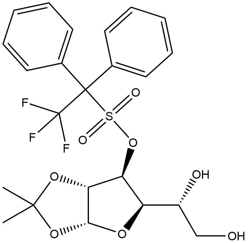
首页 化工产品目录 α-D-Glucofuranose, 1,2-O-(1-methylethylidene)-, 3-[α-phenyl-α-(trifluoromethyl)benzenemethanesulfonate]
116384-38-4
α-D-Glucofuranose, 1,2-O-(1-methylethylidene)-, 3-[α-phenyl-α-(trifluoromethyl)benzenemethanesulfonate]
产品纠错
CAS号:116384-38-4 | 英文名称:α-D-Glucofuranose, 1,2-O-(1-methylethylidene)-, 3-[α-phenyl-α-(trifluoromethyl)benzenemethanesulfonate]
分子式
分子量
EINECS号
MDL
Smiles
InChIKey
α-D-Glucofuranose, 1,2-O-(1-methylethylidene)-, 3-[α-phenyl-α-(trifluoromethyl)benzenemethanesulfonate]化学百科
基本信息
中文名称 α-D-Glucofuranose, 1,2-O-(1-methylethylidene)-, 3-[α-phenyl-α-(trifluoromethyl)benzenemethanesulfonate]
英文名称 α-D-Glucofuranose, 1,2-O-(1-methylethylidene)-, 3-[α-phenyl-α-(trifluoromethyl)benzenemethanesulfonate]
CAS号 116384-38-4
分子式 C23H25F3O8S
分子量 518.5
物化性质
安全信息
生产及用途
上下游产品
上游产品共计:0
下游产品共计:0
相关产品
产品供应商