您好!欢迎来到化工e站网 登录 注册
我的EWeb ▼
导航菜单 ▼
中文 ▼
医药中间体
无机化工
有机原料
原料药
染料及颜料
表面活性剂
香精与香料
化学试剂
食品添加剂
催化剂及助剂
分析化学
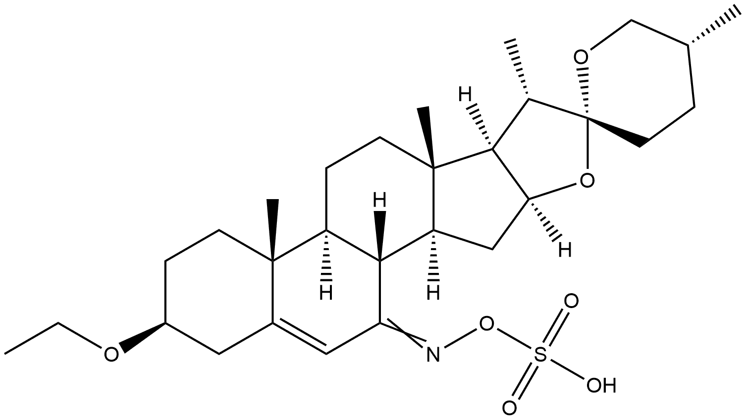
首页 化工产品目录 Hydroxylamine-O-sulfonic acid, N-[(3β,25R)-3-ethoxyspirost-5-en-7-ylidene]-
116292-32-1
Hydroxylamine-O-sulfonic acid, N-[(3β,25R)-3-ethoxyspirost-5-en-7-ylidene]-
产品纠错
CAS号:116292-32-1 | 英文名称:Hydroxylamine-O-sulfonic acid, N-[(3β,25R)-3-ethoxyspirost-5-en-7-ylidene]-
分子式
分子量
EINECS号
MDL
Smiles
InChIKey
Hydroxylamine-O-sulfonic acid, N-[(3β,25R)-3-ethoxyspirost-5-en-7-ylidene]-化学百科
基本信息
中文名称 Hydroxylamine-O-sulfonic acid, N-[(3β,25R)-3-ethoxyspirost-5-en-7-ylidene]-
英文名称 Hydroxylamine-O-sulfonic acid, N-[(3β,25R)-3-ethoxyspirost-5-en-7-ylidene]-
CAS号 116292-32-1
分子式 C29H45NO7S
分子量 551.74
物化性质
安全信息
生产及用途
上下游产品
上游产品共计:0
下游产品共计:0
相关产品
产品供应商