您好!欢迎来到化工e站网 登录 注册
我的EWeb ▼
导航菜单 ▼
中文 ▼
医药中间体
无机化工
有机原料
原料药
染料及颜料
表面活性剂
香精与香料
化学试剂
食品添加剂
催化剂及助剂
分析化学
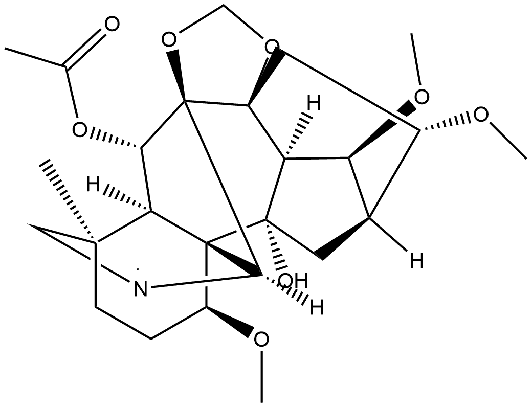
首页 化工产品目录 Aconitane-6,10-diol, 19,20-didehydro-1,14,16-trimethoxy-4-methyl-7,8-[methylenebis(oxy)]-, 6-acetate, (1α,6β,14α,16β)-
116199-46-3
Aconitane-6,10-diol, 19,20-didehydro-1,14,16-trimethoxy-4-methyl-7,8-[methylenebis(oxy)]-, 6-acetate, (1α,6β,14α,16β)-
产品纠错
CAS号:116199-46-3 | 英文名称:Aconitane-6,10-diol, 19,20-didehydro-1,14,16-trimethoxy-4-methyl-7,8-[methylenebis(oxy)]-, 6-acetate, (1α,6β,14α,16β)-
分子式 C25H35NO8
分子量
EINECS号
MDL
Smiles
InChIKey
Aconitane-6,10-diol, 19,20-didehydro-1,14,16-trimethoxy-4-methyl-7,8-[methylenebis(oxy)]-, 6-acetate, (1α,6β,14α,16β)-化学百科
基本信息
中文名称 Aconitane-6,10-diol, 19,20-didehydro-1,14,16-trimethoxy-4-methyl-7,8-[methylenebis(oxy)]-, 6-acetate, (1α,6β,14α,16β)-
英文名称 Aconitane-6,10-diol, 19,20-didehydro-1,14,16-trimethoxy-4-methyl-7,8-[methylenebis(oxy)]-, 6-acetate, (1α,6β,14α,16β)-
CAS号 116199-46-3
分子式 C25H35NO8
分子量 477.55
物化性质
安全信息
生产及用途
上下游产品
上游产品共计:0
下游产品共计:0
相关产品
产品供应商