您好!欢迎来到化工e站网 登录 注册
我的EWeb ▼
导航菜单 ▼
中文 ▼
医药中间体
无机化工
有机原料
原料药
染料及颜料
表面活性剂
香精与香料
化学试剂
食品添加剂
催化剂及助剂
分析化学
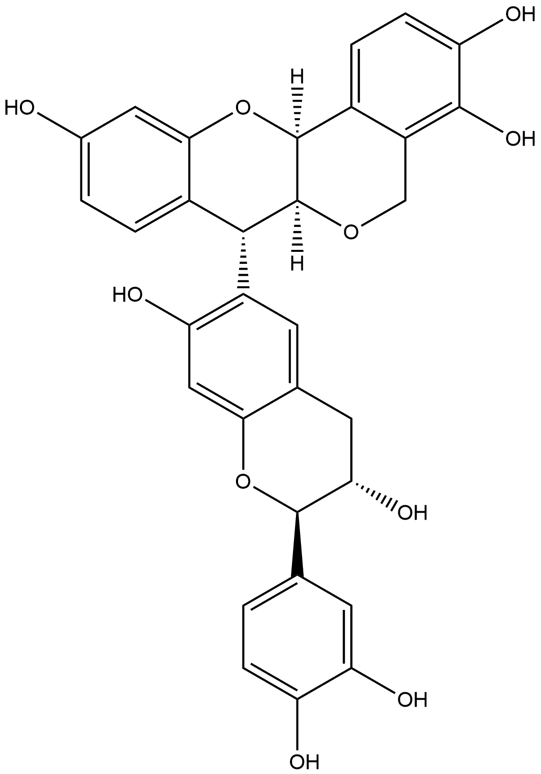
首页 化工产品目录 [2]Benzopyrano[4,3-b][1]benzopyran-3,4,10-triol, 7-[2-(3,4-dihydroxyphenyl)-3,4-dihydro-3,7-dihydroxy-2H-1-benzopyran-6-yl]-5,6a,7,12a-tetrahydro-, [6aS-[6aα,7α(2S*,3R*),12aα]]- (9CI)
116191-65-2
[2]Benzopyrano[4,3-b][1]benzopyran-3,4,10-triol, 7-[2-(3,4-dihydroxyphenyl)-3,4-dihydro-3,7-dihydroxy-2H-1-benzopyran-6-yl]-5,6a,7,12a-tetrahydro-, [6aS-[6aα,7α(2S*,3R*),12aα]]- (9CI)
产品纠错
CAS号:116191-65-2 | 英文名称:[2]Benzopyrano[4,3-b][1]benzopyran-3,4,10-triol, 7-[2-(3,4-dihydroxyphenyl)-3,4-dihydro-3,7-dihydroxy-2H-1-benzopyran-6-yl]-5,6a,7,12a-tetrahydro-, [6aS-[6aα,7α(2S*,3R*),12aα]]- (9CI)
分子式 C31H26O10
分子量
EINECS号
MDL
Smiles
InChIKey
[2]Benzopyrano[4,3-b][1]benzopyran-3,4,10-triol, 7-[2-(3,4-dihydroxyphenyl)-3,4-dihydro-3,7-dihydroxy-2H-1-benzopyran-6-yl]-5,6a,7,12a-tetrahydro-, [6aS-[6aα,7α(2S*,3R*),12aα]]- (9CI)化学百科
基本信息
中文名称 [2]Benzopyrano[4,3-b][1]benzopyran-3,4,10-triol, 7-[2-(3,4-dihydroxyphenyl)-3,4-dihydro-3,7-dihydroxy-2H-1-benzopyran-6-yl]-5,6a,7,12a-tetrahydro-, [6aS-[6aα,7α(2S*,3R*),12aα]]- (9CI)
英文名称 [2]Benzopyrano[4,3-b][1]benzopyran-3,4,10-triol, 7-[2-(3,4-dihydroxyphenyl)-3,4-dihydro-3,7-dihydroxy-2H-1-benzopyran-6-yl]-5,6a,7,12a-tetrahydro-, [6aS-[6aα,7α(2S*,3R*),12aα]]- (9CI)
CAS号 116191-65-2
分子式 C31H26O10
分子量 558.53
物化性质
安全信息
生产及用途
上下游产品
上游产品共计:0
下游产品共计:0
相关产品
产品供应商