您好!欢迎来到化工e站网 登录 注册
我的EWeb ▼
导航菜单 ▼
中文 ▼
医药中间体
无机化工
有机原料
原料药
染料及颜料
表面活性剂
香精与香料
化学试剂
食品添加剂
催化剂及助剂
分析化学
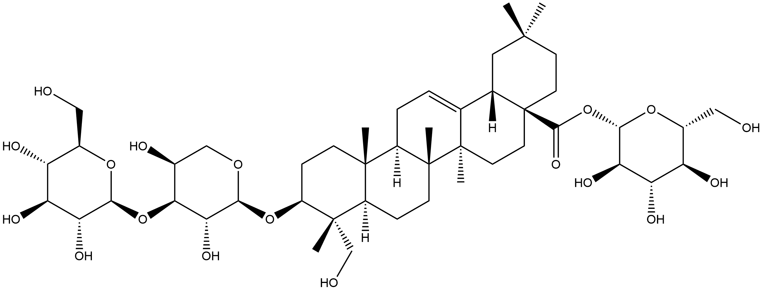
首页 化工产品目录 Olean-12-en-28-oic acid, 3-[(3-O-β-D-glucopyranosyl-α-L-arabinopyranosyl)oxy]-23-hydroxy-, β-D-glucopyranosyl ester, (3β,4α)-
116107-21-2
Olean-12-en-28-oic acid, 3-[(3-O-β-D-glucopyranosyl-α-L-arabinopyranosyl)oxy]-23-hydroxy-, β-D-glucopyranosyl ester, (3β,4α)-
产品纠错
CAS号:116107-21-2 | 英文名称:Olean-12-en-28-oic acid, 3-[(3-O-β-D-glucopyranosyl-α-L-arabinopyranosyl)oxy]-23-hydroxy-, β-D-glucopyranosyl ester, (3β,4α)-
分子式
分子量
EINECS号
MDL
Smiles
InChIKey
Olean-12-en-28-oic acid, 3-[(3-O-β-D-glucopyranosyl-α-L-arabinopyranosyl)oxy]-23-hydroxy-, β-D-glucopyranosyl ester, (3β,4α)-化学百科
基本信息
中文名称 Olean-12-en-28-oic acid, 3-[(3-O-β-D-glucopyranosyl-α-L-arabinopyranosyl)oxy]-23-hydroxy-, β-D-glucopyranosyl ester, (3β,4α)-
英文名称 Olean-12-en-28-oic acid, 3-[(3-O-β-D-glucopyranosyl-α-L-arabinopyranosyl)oxy]-23-hydroxy-, β-D-glucopyranosyl ester, (3β,4α)-
CAS号 116107-21-2
分子式 C47H76O18
分子量 929.1
物化性质
安全信息
生产及用途
上下游产品
上游产品共计:0
下游产品共计:0
相关产品
产品供应商