您好!欢迎来到化工e站网 登录 注册
我的EWeb ▼
导航菜单 ▼
中文 ▼
医药中间体
无机化工
有机原料
原料药
染料及颜料
表面活性剂
香精与香料
化学试剂
食品添加剂
催化剂及助剂
分析化学
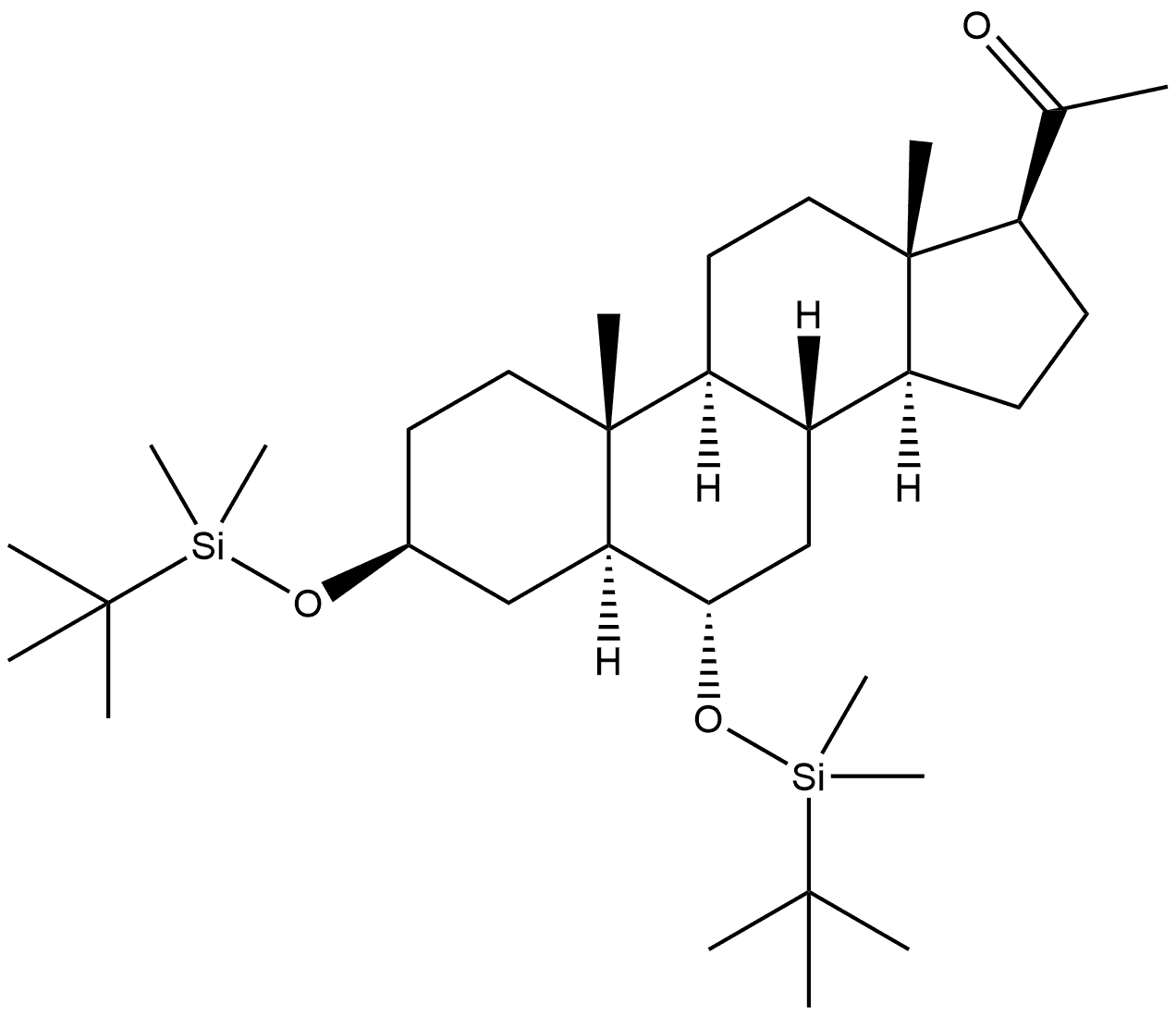
首页 化工产品目录 (3β,5α,6α)-3,6-Bis[[(1,1-dimethylethyl)dimethylsilyl]oxy]pregnan-20-one
1160304-19-7
(3β,5α,6α)-3,6-Bis[[(1,1-dimethylethyl)dimethylsilyl]oxy]pregnan-20-one
产品纠错
CAS号:1160304-19-7 | 英文名称:(3β,5α,6α)-3,6-Bis[[(1,1-dimethylethyl)dimethylsilyl]oxy]pregnan-20-one
分子式
分子量
EINECS号
MDL
Smiles
InChIKey
(3β,5α,6α)-3,6-Bis[[(1,1-dimethylethyl)dimethylsilyl]oxy]pregnan-20-one化学百科
基本信息
中文名称 (3β,5α,6α)-3,6-Bis[[(1,1-dimethylethyl)dimethylsilyl]oxy]pregnan-20-one
英文名称 (3β,5α,6α)-3,6-Bis[[(1,1-dimethylethyl)dimethylsilyl]oxy]pregnan-20-one
CAS号 1160304-19-7
分子式 C33H62O3Si2
分子量 563.02
物化性质
安全信息
生产及用途
上下游产品
上游产品共计:0
下游产品共计:0
相关产品
产品供应商