您好!欢迎来到化工e站网 登录 注册
我的EWeb ▼
导航菜单 ▼
中文 ▼
医药中间体
无机化工
有机原料
原料药
染料及颜料
表面活性剂
香精与香料
化学试剂
食品添加剂
催化剂及助剂
分析化学
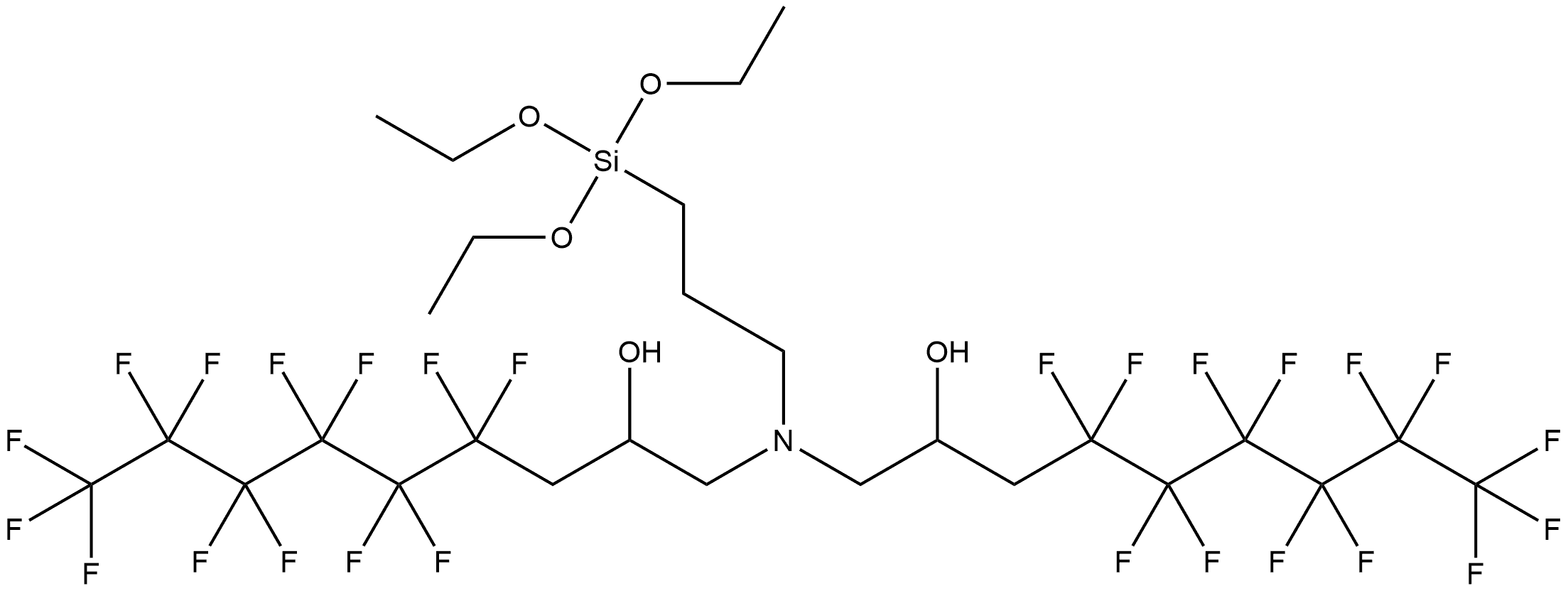
首页 化工产品目录 1,1′-[[3-(Triethoxysilyl)propyl]imino]bis[4,4,5,5,6,6,7,7,8,8,9,9,9-tridecafluoro-2-nonanol]
1159854-28-0
1,1′-[[3-(Triethoxysilyl)propyl]imino]bis[4,4,5,5,6,6,7,7,8,8,9,9,9-tridecafluoro-2-nonanol]
产品纠错
CAS号:1159854-28-0 | 英文名称:1,1′-[[3-(Triethoxysilyl)propyl]imino]bis[4,4,5,5,6,6,7,7,8,8,9,9,9-tridecafluoro-2-nonanol]
分子式
分子量
EINECS号
MDL
Smiles
InChIKey
1,1′-[[3-(Triethoxysilyl)propyl]imino]bis[4,4,5,5,6,6,7,7,8,8,9,9,9-tridecafluoro-2-nonanol]化学百科
基本信息
物化性质
安全信息
生产及用途
上下游产品
上游产品共计:0
下游产品共计:0
相关产品
产品供应商