您好!欢迎来到化工e站网 登录 注册
我的EWeb ▼
导航菜单 ▼
中文 ▼
医药中间体
无机化工
有机原料
原料药
染料及颜料
表面活性剂
香精与香料
化学试剂
食品添加剂
催化剂及助剂
分析化学
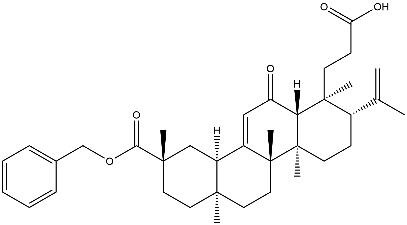
首页 化工产品目录 (1S,2S,4aR,4bS,6aS,9S,10aR,12aR)-1,2,3,4,4a,4b,5,6,6a,7,8,9,10,10a,12,12a-Hexadecahydro-1,4a,4b,6a,9-pentamethyl-2-(1-methylethenyl)-12-oxo-9-[(phenylmethoxy)carbonyl]-1-chrysenepropanoic acid
1158817-96-9
(1S,2S,4aR,4bS,6aS,9S,10aR,12aR)-1,2,3,4,4a,4b,5,6,6a,7,8,9,10,10a,12,12a-Hexadecahydro-1,4a,4b,6a,9-pentamethyl-2-(1-methylethenyl)-12-oxo-9-[(phenylmethoxy)carbonyl]-1-chrysenepropanoic acid
产品纠错
CAS号:1158817-96-9 | 英文名称:(1S,2S,4aR,4bS,6aS,9S,10aR,12aR)-1,2,3,4,4a,4b,5,6,6a,7,8,9,10,10a,12,12a-Hexadecahydro-1,4a,4b,6a,9-pentamethyl-2-(1-methylethenyl)-12-oxo-9-[(phenylmethoxy)carbonyl]-1-chrysenepropanoic acid
分子式
分子量
EINECS号
MDL
Smiles
InChIKey
(1S,2S,4aR,4bS,6aS,9S,10aR,12aR)-1,2,3,4,4a,4b,5,6,6a,7,8,9,10,10a,12,12a-Hexadecahydro-1,4a,4b,6a,9-pentamethyl-2-(1-methylethenyl)-12-oxo-9-[(phenylmethoxy)carbonyl]-1-chrysenepropanoic acid化学百科
基本信息
中文名称 (1S,2S,4aR,4bS,6aS,9S,10aR,12aR)-1,2,3,4,4a,4b,5,6,6a,7,8,9,10,10a,12,12a-Hexadecahydro-1,4a,4b,6a,9-pentamethyl-2-(1-methylethenyl)-12-oxo-9-[(phenylmethoxy)carbonyl]-1-chrysenepropanoic acid
英文名称 (1S,2S,4aR,4bS,6aS,9S,10aR,12aR)-1,2,3,4,4a,4b,5,6,6a,7,8,9,10,10a,12,12a-Hexadecahydro-1,4a,4b,6a,9-pentamethyl-2-(1-methylethenyl)-12-oxo-9-[(phenylmethoxy)carbonyl]-1-chrysenepropanoic acid
CAS号 1158817-96-9
分子式 C37H50O5
分子量 574.79
物化性质
安全信息
生产及用途
上下游产品
上游产品共计:0
下游产品共计:0
相关产品
产品供应商