您好!欢迎来到化工e站网 登录 注册
我的EWeb ▼
导航菜单 ▼
中文 ▼
医药中间体
无机化工
有机原料
原料药
染料及颜料
表面活性剂
香精与香料
化学试剂
食品添加剂
催化剂及助剂
分析化学
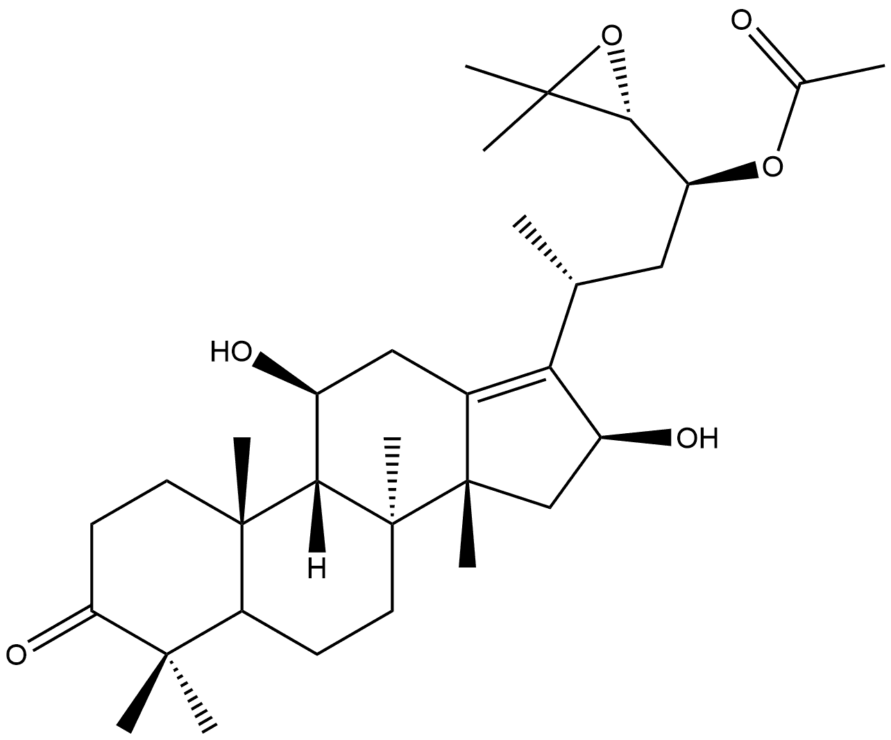
首页 化工产品目录 Dammar-13(17)-en-3-one, 23-(acetyloxy)-24,25-epoxy-11,16-dihydroxy-, (8α,9β,11β,14β,16β,23S,24R)-
115346-25-3
Dammar-13(17)-en-3-one, 23-(acetyloxy)-24,25-epoxy-11,16-dihydroxy-, (8α,9β,11β,14β,16β,23S,24R)-
产品纠错
CAS号:115346-25-3 | 英文名称:Dammar-13(17)-en-3-one, 23-(acetyloxy)-24,25-epoxy-11,16-dihydroxy-, (8α,9β,11β,14β,16β,23S,24R)-
分子式
分子量
EINECS号
MDL
Smiles
InChIKey
Dammar-13(17)-en-3-one, 23-(acetyloxy)-24,25-epoxy-11,16-dihydroxy-, (8α,9β,11β,14β,16β,23S,24R)-化学百科
基本信息
中文名称 Dammar-13(17)-en-3-one, 23-(acetyloxy)-24,25-epoxy-11,16-dihydroxy-, (8α,9β,11β,14β,16β,23S,24R)-
英文名称 Dammar-13(17)-en-3-one, 23-(acetyloxy)-24,25-epoxy-11,16-dihydroxy-, (8α,9β,11β,14β,16β,23S,24R)-
CAS号 115346-25-3
分子式 C32H50O6
分子量 530.74
物化性质
安全信息
生产及用途
上下游产品
上游产品共计:0
下游产品共计:0
相关产品
产品供应商