您好!欢迎来到化工e站网 登录 注册
我的EWeb ▼
导航菜单 ▼
中文 ▼
医药中间体
无机化工
有机原料
原料药
染料及颜料
表面活性剂
香精与香料
化学试剂
食品添加剂
催化剂及助剂
分析化学
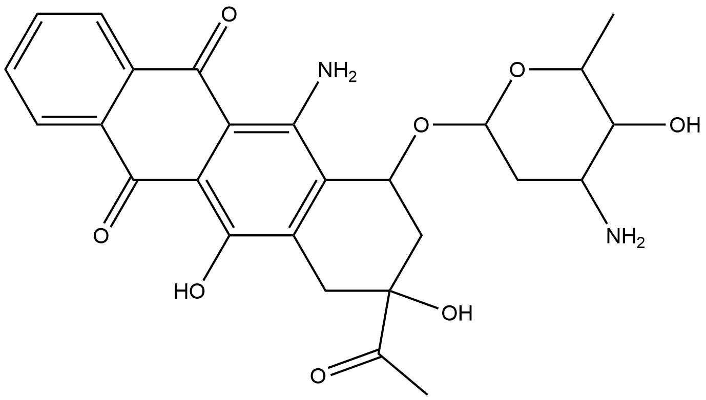
首页 化工产品目录 5,12-Naphthacenedione, 9-acetyl-6-amino-7-[(3-amino-2,3,6-trideoxy-α-L-lyxo-hexopyranosyl)oxy]-7,8,9,10-tetrahydro-9,11-dihydroxy-, (7S-cis)- (9CI)
115281-40-8
5,12-Naphthacenedione, 9-acetyl-6-amino-7-[(3-amino-2,3,6-trideoxy-α-L-lyxo-hexopyranosyl)oxy]-7,8,9,10-tetrahydro-9,11-dihydroxy-, (7S-cis)- (9CI)
产品纠错
CAS号:115281-40-8 | 英文名称:5,12-Naphthacenedione, 9-acetyl-6-amino-7-[(3-amino-2,3,6-trideoxy-α-L-lyxo-hexopyranosyl)oxy]-7,8,9,10-tetrahydro-9,11-dihydroxy-, (7S-cis)- (9CI)
分子式
分子量
EINECS号
MDL
Smiles
InChIKey
5,12-Naphthacenedione, 9-acetyl-6-amino-7-[(3-amino-2,3,6-trideoxy-α-L-lyxo-hexopyranosyl)oxy]-7,8,9,10-tetrahydro-9,11-dihydroxy-, (7S-cis)- (9CI)化学百科
基本信息
物化性质
安全信息
生产及用途
上下游产品
上游产品共计:0
下游产品共计:0
相关产品
产品供应商