您好!欢迎来到化工e站网 登录 注册
我的EWeb ▼
导航菜单 ▼
中文 ▼
医药中间体
无机化工
有机原料
原料药
染料及颜料
表面活性剂
香精与香料
化学试剂
食品添加剂
催化剂及助剂
分析化学
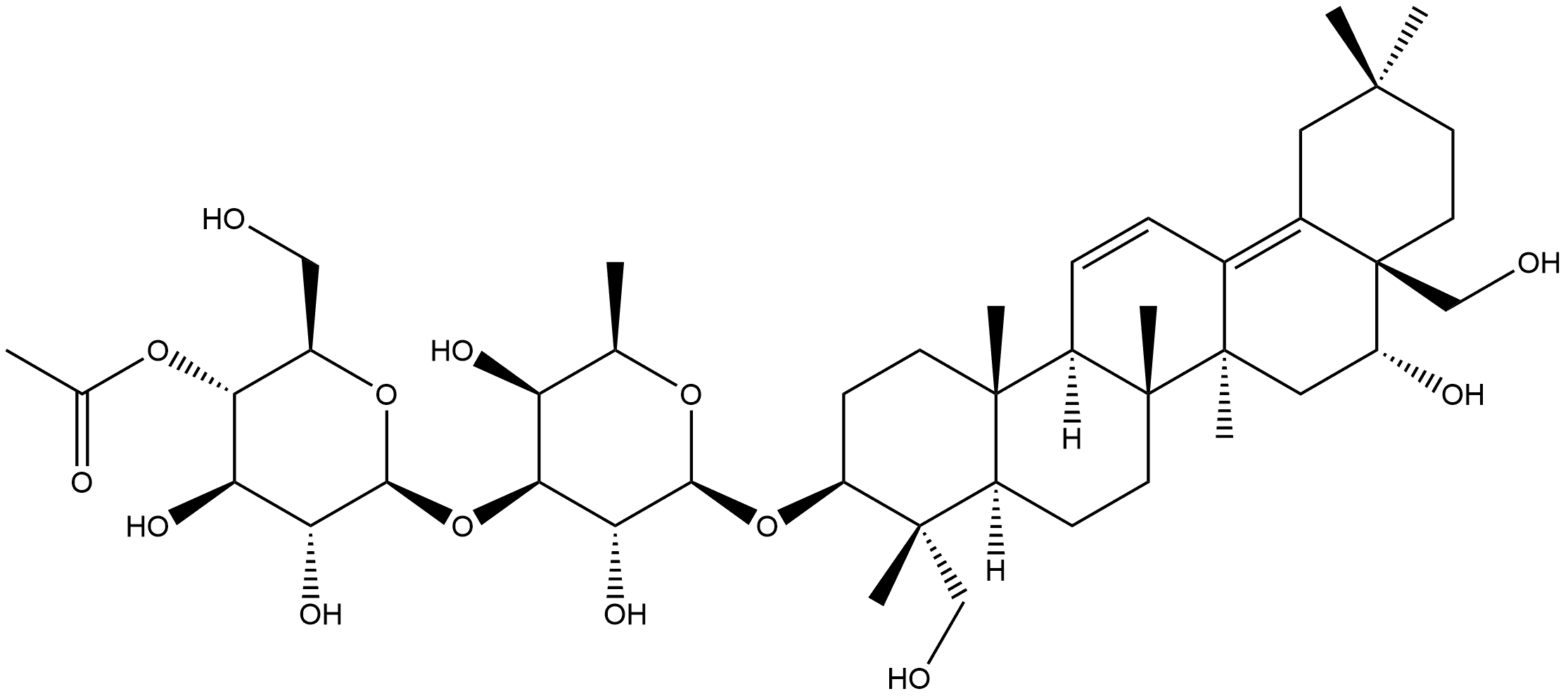
首页 化工产品目录 Oleana-11,13(18)-diene-16,23,28-triol, 3-[[3-O-(4-O-acetyl-β-D-glucopyranosyl)-6-deoxy-β-D-galactopyranosyl]oxy]-, (3β,4α,16α)-
1152168-68-7
Oleana-11,13(18)-diene-16,23,28-triol, 3-[[3-O-(4-O-acetyl-β-D-glucopyranosyl)-6-deoxy-β-D-galactopyranosyl]oxy]-, (3β,4α,16α)-
产品纠错
CAS号:1152168-68-7 | 英文名称:Oleana-11,13(18)-diene-16,23,28-triol, 3-[[3-O-(4-O-acetyl-β-D-glucopyranosyl)-6-deoxy-β-D-galactopyranosyl]oxy]-, (3β,4α,16α)-
分子式
分子量
EINECS号
MDL
Smiles
InChIKey
Oleana-11,13(18)-diene-16,23,28-triol, 3-[[3-O-(4-O-acetyl-β-D-glucopyranosyl)-6-deoxy-β-D-galactopyranosyl]oxy]-, (3β,4α,16α)-化学百科
基本信息
中文名称 Oleana-11,13(18)-diene-16,23,28-triol, 3-[[3-O-(4-O-acetyl-β-D-glucopyranosyl)-6-deoxy-β-D-galactopyranosyl]oxy]-, (3β,4α,16α)-
英文名称 Oleana-11,13(18)-diene-16,23,28-triol, 3-[[3-O-(4-O-acetyl-β-D-glucopyranosyl)-6-deoxy-β-D-galactopyranosyl]oxy]-, (3β,4α,16α)-
CAS号 1152168-68-7
分子式 C44H70O14
分子量 823.02
物化性质
安全信息
生产及用途
上下游产品
上游产品共计:0
下游产品共计:0
相关产品
产品供应商