您好!欢迎来到化工e站网 登录 注册
我的EWeb ▼
导航菜单 ▼
中文 ▼
医药中间体
无机化工
有机原料
原料药
染料及颜料
表面活性剂
香精与香料
化学试剂
食品添加剂
催化剂及助剂
分析化学
首页 化工产品目录 L-Glutamine, L-valyl-L-prolyl-L-prolyl-L-alanyl-L-alanyl-L-α-aspartyl-L-α-glutamyl-L-valyl-L-seryl-L-leucyl-L-leucyl-L-leucyl-L-alanyl-L-threonyl-
1151612-81-5
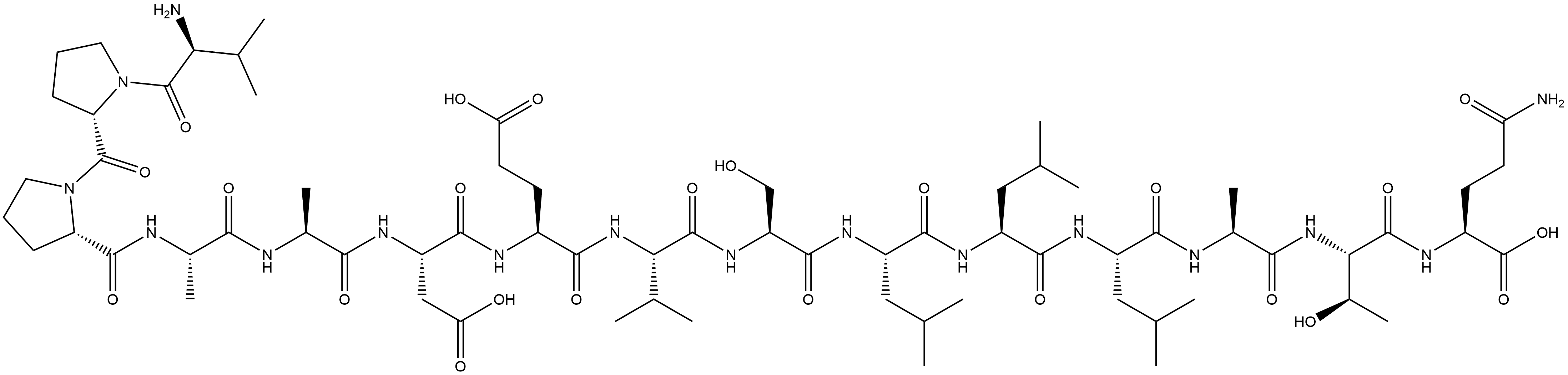
L-Glutamine, L-valyl-L-prolyl-L-prolyl-L-alanyl-L-alanyl-L-α-aspartyl-L-α-glutamyl-L-valyl-L-seryl-L-leucyl-L-leucyl-L-leucyl-L-alanyl-L-threonyl-
产品纠错
CAS号:1151612-81-5 | 英文名称:L-Glutamine, L-valyl-L-prolyl-L-prolyl-L-alanyl-L-alanyl-L-α-aspartyl-L-α-glutamyl-L-valyl-L-seryl-L-leucyl-L-leucyl-L-leucyl-L-alanyl-L-threonyl-
分子式 C68H114N16O23
分子量 1524
EINECS号
MDL
Smiles
InChIKey
L-Glutamine, L-valyl-L-prolyl-L-prolyl-L-alanyl-L-alanyl-L-α-aspartyl-L-α-glutamyl-L-valyl-L-seryl-L-leucyl-L-leucyl-L-leucyl-L-alanyl-L-threonyl-化学百科
基本信息
中文名称 L-Glutamine, L-valyl-L-prolyl-L-prolyl-L-alanyl-L-alanyl-L-α-aspartyl-L-α-glutamyl-L-valyl-L-seryl-L-leucyl-L-leucyl-L-leucyl-L-alanyl-L-threonyl-
英文名称 L-Glutamine, L-valyl-L-prolyl-L-prolyl-L-alanyl-L-alanyl-L-α-aspartyl-L-α-glutamyl-L-valyl-L-seryl-L-leucyl-L-leucyl-L-leucyl-L-alanyl-L-threonyl-
CAS号 1151612-81-5
分子式 C68H114N16O23
分子量 1523.73
物化性质
安全信息
生产及用途
上下游产品
上游产品共计:0
下游产品共计:0
相关产品
产品供应商