您好!欢迎来到化工e站网 登录 注册
我的EWeb ▼
导航菜单 ▼
中文 ▼
医药中间体
无机化工
有机原料
原料药
染料及颜料
表面活性剂
香精与香料
化学试剂
食品添加剂
催化剂及助剂
分析化学
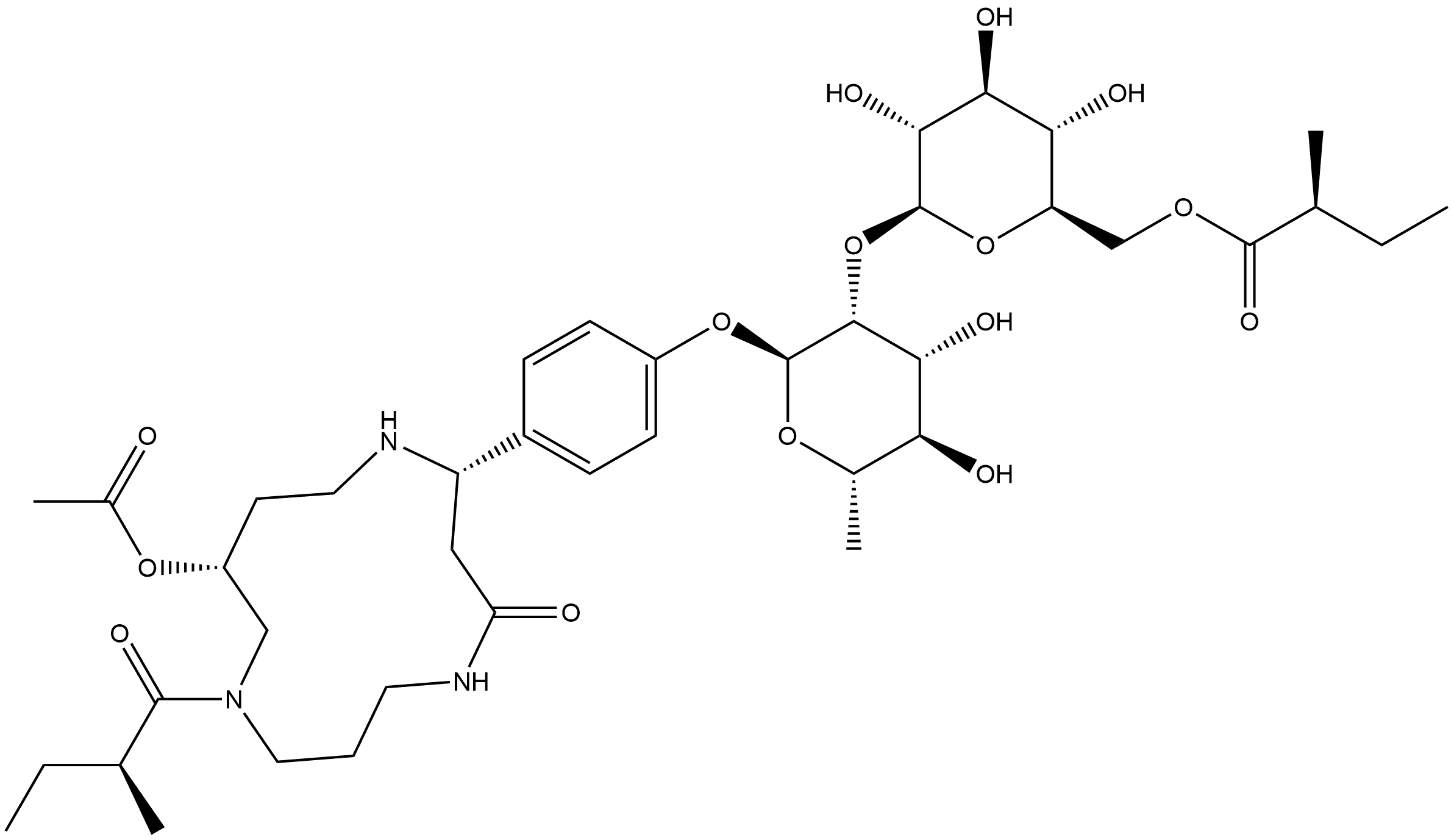
首页 化工产品目录 1,5,9-Triazacyclotridecan-4-one, 11-(acetyloxy)-2-[4-[[6-deoxy-2-O-[6-O-[(2S)-2-methyl-1-oxobutyl]-β-D-glucopyranosyl]-α-L-mannopyranosyl]oxy]phenyl]-9-[(2S)-2-methyl-1-oxobutyl]-, (2S,11R)-
1149379-98-5
1,5,9-Triazacyclotridecan-4-one, 11-(acetyloxy)-2-[4-[[6-deoxy-2-O-[6-O-[(2S)-2-methyl-1-oxobutyl]-β-D-glucopyranosyl]-α-L-mannopyranosyl]oxy]phenyl]-9-[(2S)-2-methyl-1-oxobutyl]-, (2S,11R)-
产品纠错
CAS号:1149379-98-5 | 英文名称:1,5,9-Triazacyclotridecan-4-one, 11-(acetyloxy)-2-[4-[[6-deoxy-2-O-[6-O-[(2S)-2-methyl-1-oxobutyl]-β-D-glucopyranosyl]-α-L-mannopyranosyl]oxy]phenyl]-9-[(2S)-2-methyl-1-oxobutyl]-, (2S,11R)-
分子式
分子量
EINECS号
MDL
Smiles
InChIKey
1,5,9-Triazacyclotridecan-4-one, 11-(acetyloxy)-2-[4-[[6-deoxy-2-O-[6-O-[(2S)-2-methyl-1-oxobutyl]-β-D-glucopyranosyl]-α-L-mannopyranosyl]oxy]phenyl]-9-[(2S)-2-methyl-1-oxobutyl]-, (2S,11R)-化学百科
基本信息
中文名称 1,5,9-Triazacyclotridecan-4-one, 11-(acetyloxy)-2-[4-[[6-deoxy-2-O-[6-O-[(2S)-2-methyl-1-oxobutyl]-β-D-glucopyranosyl]-α-L-mannopyranosyl]oxy]phenyl]-9-[(2S)-2-methyl-1-oxobutyl]-, (2S,11R)-
英文名称 1,5,9-Triazacyclotridecan-4-one, 11-(acetyloxy)-2-[4-[[6-deoxy-2-O-[6-O-[(2S)-2-methyl-1-oxobutyl]-β-D-glucopyranosyl]-α-L-mannopyranosyl]oxy]phenyl]-9-[(2S)-2-methyl-1-oxobutyl]-, (2S,11R)-
CAS号 1149379-98-5
分子式 C40H63N3O15
分子量 825.94
物化性质
安全信息
生产及用途
上下游产品
上游产品共计:0
下游产品共计:0
相关产品
产品供应商