您好!欢迎来到化工e站网 登录 注册
我的EWeb ▼
导航菜单 ▼
中文 ▼
医药中间体
无机化工
有机原料
原料药
染料及颜料
表面活性剂
香精与香料
化学试剂
食品添加剂
催化剂及助剂
分析化学
首页 化工产品目录 D-Mannopyranose, 3-(acetylamino)-3,6-dideoxy-1,4-bis-O-[(1,1-dimethylethyl)dimethylsilyl]-
114862-41-8
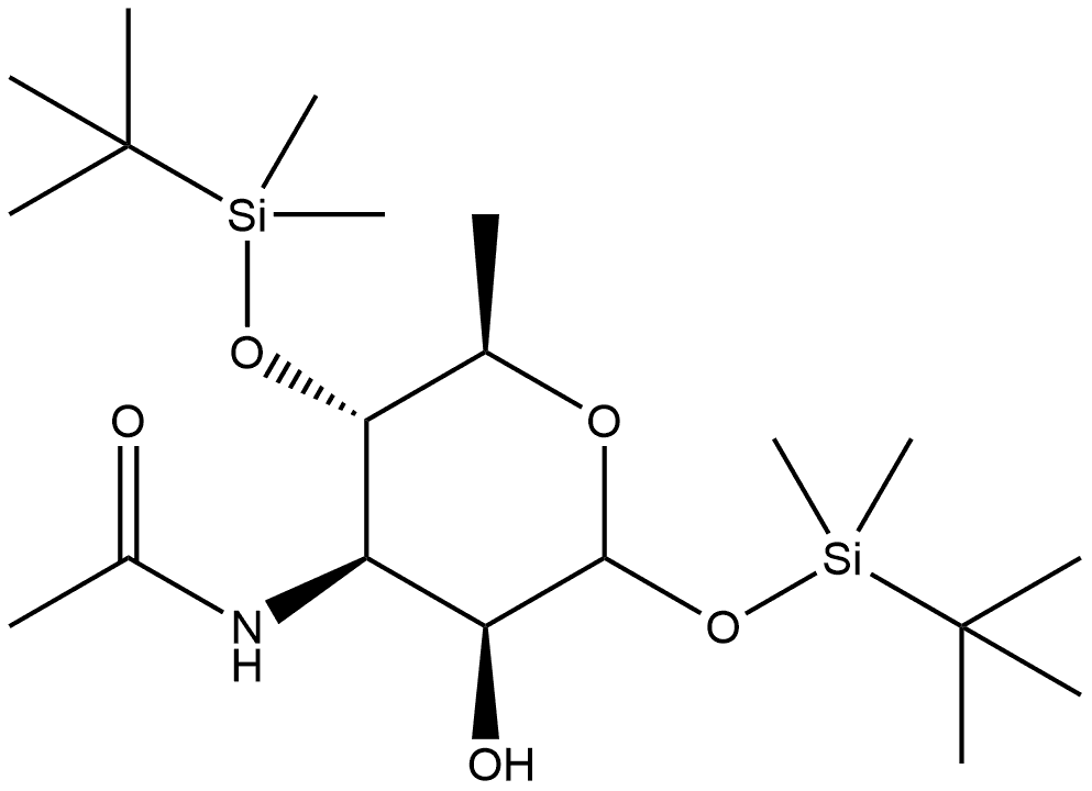
D-Mannopyranose, 3-(acetylamino)-3,6-dideoxy-1,4-bis-O-[(1,1-dimethylethyl)dimethylsilyl]-
产品纠错
CAS号:114862-41-8 | 英文名称:D-Mannopyranose, 3-(acetylamino)-3,6-dideoxy-1,4-bis-O-[(1,1-dimethylethyl)dimethylsilyl]-
分子式
分子量
EINECS号
MDL
Smiles
InChIKey
D-Mannopyranose, 3-(acetylamino)-3,6-dideoxy-1,4-bis-O-[(1,1-dimethylethyl)dimethylsilyl]-化学百科
基本信息
中文名称 D-Mannopyranose, 3-(acetylamino)-3,6-dideoxy-1,4-bis-O-[(1,1-dimethylethyl)dimethylsilyl]-
英文名称 D-Mannopyranose, 3-(acetylamino)-3,6-dideoxy-1,4-bis-O-[(1,1-dimethylethyl)dimethylsilyl]-
CAS号 114862-41-8
分子式 C20H43NO5Si2
分子量 433.73
物化性质
安全信息
生产及用途
上下游产品
上游产品共计:0
下游产品共计:0
相关产品
产品供应商