您好!欢迎来到化工e站网 登录 注册
我的EWeb ▼
导航菜单 ▼
中文 ▼
医药中间体
无机化工
有机原料
原料药
染料及颜料
表面活性剂
香精与香料
化学试剂
食品添加剂
催化剂及助剂
分析化学
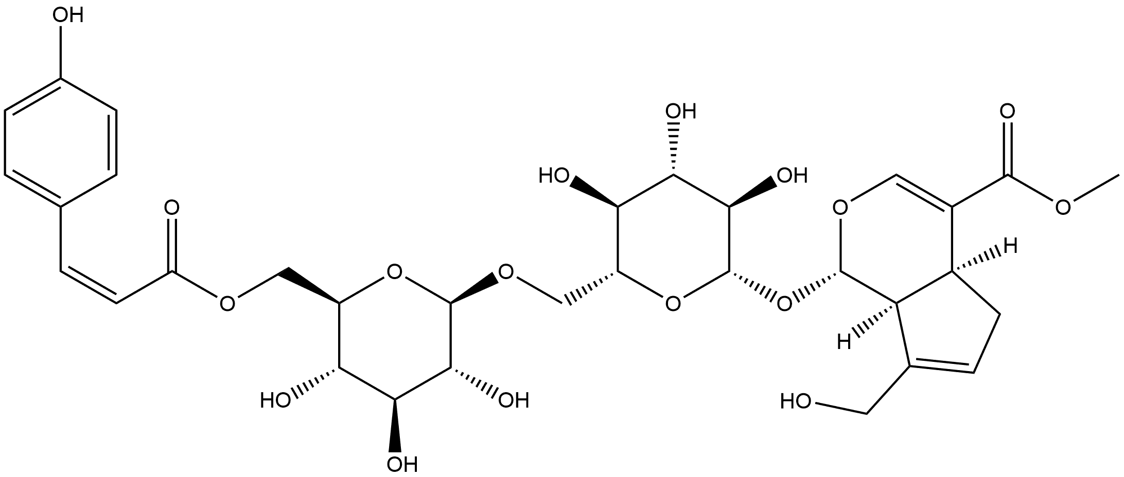
首页 化工产品目录 6"-O-[( E)-P-香豆酰基]京尼平龙胆二糖苷
114653-46-2
6"-O-[( E)-P-香豆酰基]京尼平龙胆二糖苷
产品纠错
CAS号:114653-46-2 | 英文名称:Cyclopenta[c]pyran-4-carboxylic acid, 1,4a,5,7a-tetrahydro-7-(hydroxymethyl)-1-[[6-O-[6-O-[(2Z)-3-(4-hydroxyphenyl)-1-oxo-2-propen-1-yl]-β-D-glucopyranosyl]-β-D-glucopyranosyl]oxy]-, methyl ester, (1S,4aS,7aS)-
分子式 C32H40O17
分子量
EINECS号
MDL
Smiles
InChIKey
6"-O-[( E)-P-香豆酰基]京尼平龙胆二糖苷化学百科
基本信息
中文名称 6"-O-[( E)-P-香豆酰基]京尼平龙胆二糖苷
英文名称 Cyclopenta[c]pyran-4-carboxylic acid, 1,4a,5,7a-tetrahydro-7-(hydroxymethyl)-1-[[6-O-[6-O-[(2Z)-3-(4-hydroxyphenyl)-1-oxo-2-propen-1-yl]-β-D-glucopyranosyl]-β-D-glucopyranosyl]oxy]-, methyl ester, (1S,4aS,7aS)-
CAS号 114653-46-2
分子式 C32H40O17
分子量 696.65
物化性质
安全信息
生产及用途
上下游产品
上游产品共计:0
下游产品共计:0
相关产品
产品供应商