您好!欢迎来到化工e站网 登录 注册
我的EWeb ▼
导航菜单 ▼
中文 ▼
医药中间体
无机化工
有机原料
原料药
染料及颜料
表面活性剂
香精与香料
化学试剂
食品添加剂
催化剂及助剂
分析化学
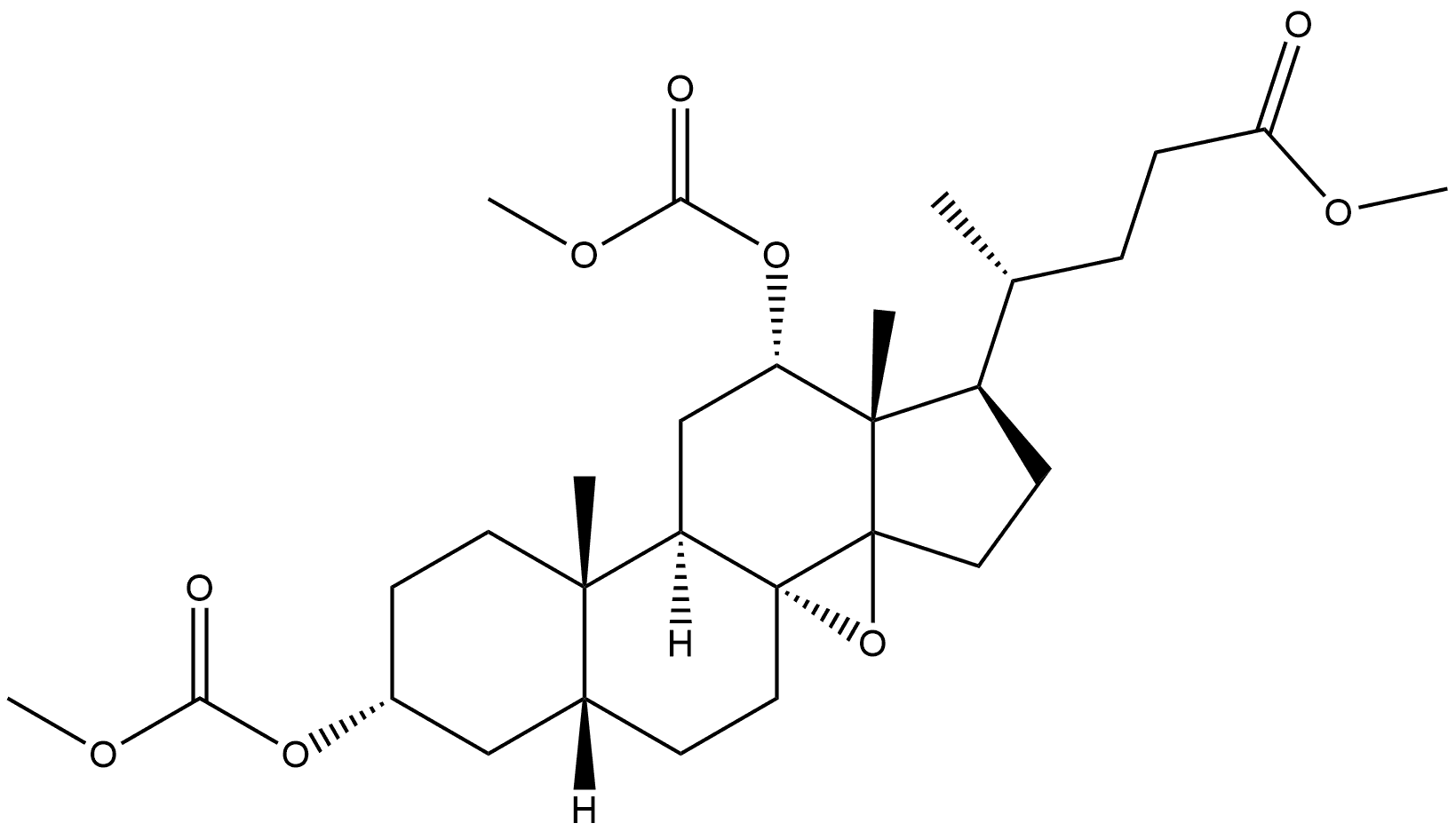
首页 化工产品目录 Cholan-24-oic acid, 8,14-epoxy-3,12-bis[(methoxycarbonyl)oxy]-, methyl ester, (3α,5β,8α,12α)- (9CI)
114585-97-6
Cholan-24-oic acid, 8,14-epoxy-3,12-bis[(methoxycarbonyl)oxy]-, methyl ester, (3α,5β,8α,12α)- (9CI)
产品纠错
CAS号:114585-97-6 | 英文名称:Cholan-24-oic acid, 8,14-epoxy-3,12-bis[(methoxycarbonyl)oxy]-, methyl ester, (3α,5β,8α,12α)- (9CI)
分子式
分子量
EINECS号
MDL
Smiles
InChIKey
Cholan-24-oic acid, 8,14-epoxy-3,12-bis[(methoxycarbonyl)oxy]-, methyl ester, (3α,5β,8α,12α)- (9CI)化学百科
基本信息
中文名称 Cholan-24-oic acid, 8,14-epoxy-3,12-bis[(methoxycarbonyl)oxy]-, methyl ester, (3α,5β,8α,12α)- (9CI)
英文名称 Cholan-24-oic acid, 8,14-epoxy-3,12-bis[(methoxycarbonyl)oxy]-, methyl ester, (3α,5β,8α,12α)- (9CI)
CAS号 114585-97-6
分子式 C29H44O9
分子量 536.65
物化性质
安全信息
生产及用途
上下游产品
上游产品共计:0
下游产品共计:0
相关产品
产品供应商