您好!欢迎来到化工e站网 登录 注册
我的EWeb ▼
导航菜单 ▼
中文 ▼
医药中间体
无机化工
有机原料
原料药
染料及颜料
表面活性剂
香精与香料
化学试剂
食品添加剂
催化剂及助剂
分析化学
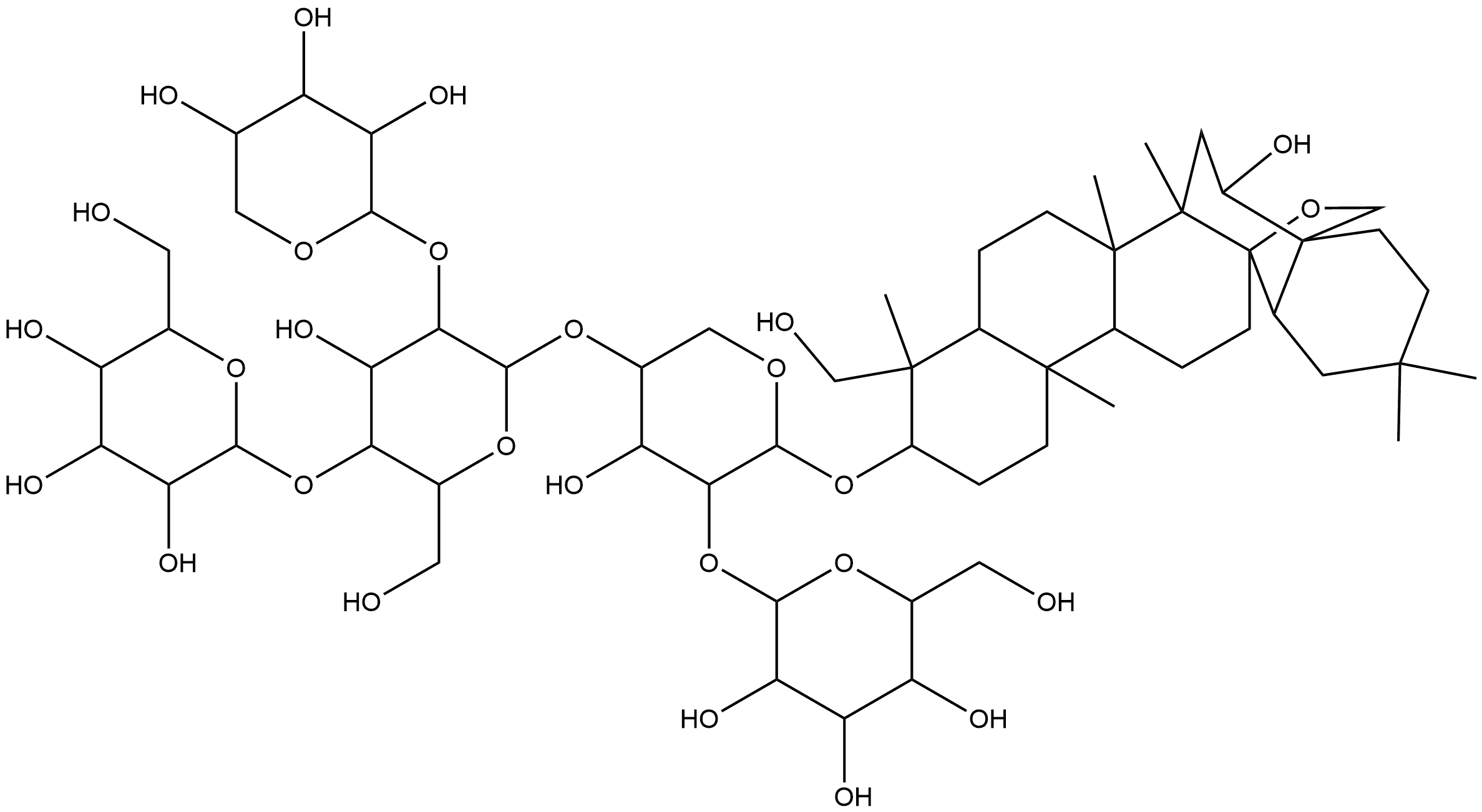
首页 化工产品目录 α-L-Arabinopyranoside, (3β,4α,16α)-13,28-epoxy-16,23-dihydroxyoleanan-3-yl O-β-D-glucopyranosyl-(1→2)-O-[O-β-D-glucopyranosyl-(1→4)-O-[β-D-xylopyranosyl-(1→2)]-β-D-glucopyranosyl-(1→4)]-
114318-82-0
α-L-Arabinopyranoside, (3β,4α,16α)-13,28-epoxy-16,23-dihydroxyoleanan-3-yl O-β-D-glucopyranosyl-(1→2)-O-[O-β-D-glucopyranosyl-(1→4)-O-[β-D-xylopyranosyl-(1→2)]-β-D-glucopyranosyl-(1→4)]-
产品纠错
CAS号:114318-82-0 | 英文名称:α-L-Arabinopyranoside, (3β,4α,16α)-13,28-epoxy-16,23-dihydroxyoleanan-3-yl O-β-D-glucopyranosyl-(1→2)-O-[O-β-D-glucopyranosyl-(1→4)-O-[β-D-xylopyranosyl-(1→2)]-β-D-glucopyranosyl-(1→4)]-
分子式
分子量
EINECS号
MDL
Smiles
InChIKey
α-L-Arabinopyranoside, (3β,4α,16α)-13,28-epoxy-16,23-dihydroxyoleanan-3-yl O-β-D-glucopyranosyl-(1→2)-O-[O-β-D-glucopyranosyl-(1→4)-O-[β-D-xylopyranosyl-(1→2)]-β-D-glucopyranosyl-(1→4)]-化学百科
基本信息
中文名称 α-L-Arabinopyranoside, (3β,4α,16α)-13,28-epoxy-16,23-dihydroxyoleanan-3-yl O-β-D-glucopyranosyl-(1→2)-O-[O-β-D-glucopyranosyl-(1→4)-O-[β-D-xylopyranosyl-(1→2)]-β-D-glucopyranosyl-(1→4)]-
英文名称 α-L-Arabinopyranoside, (3β,4α,16α)-13,28-epoxy-16,23-dihydroxyoleanan-3-yl O-β-D-glucopyranosyl-(1→2)-O-[O-β-D-glucopyranosyl-(1→4)-O-[β-D-xylopyranosyl-(1→2)]-β-D-glucopyranosyl-(1→4)]-
CAS号 114318-82-0
分子式 C58H96O27
分子量 1225.37
物化性质
安全信息
生产及用途
上下游产品
上游产品共计:0
下游产品共计:0
相关产品
产品供应商