您好!欢迎来到化工e站网 登录 注册
我的EWeb ▼
导航菜单 ▼
中文 ▼
医药中间体
无机化工
有机原料
原料药
染料及颜料
表面活性剂
香精与香料
化学试剂
食品添加剂
催化剂及助剂
分析化学
首页 化工产品目录 β-D-Glucopyranosiduronic acid, (3β,4β,21β,22β)-21,22,23-trihydroxyolean-12-en-3-yl O-6-deoxy-α-L-mannopyranosyl-(1→2)-O-β-D-galactopyranosyl-(1→2)-
114077-04-2
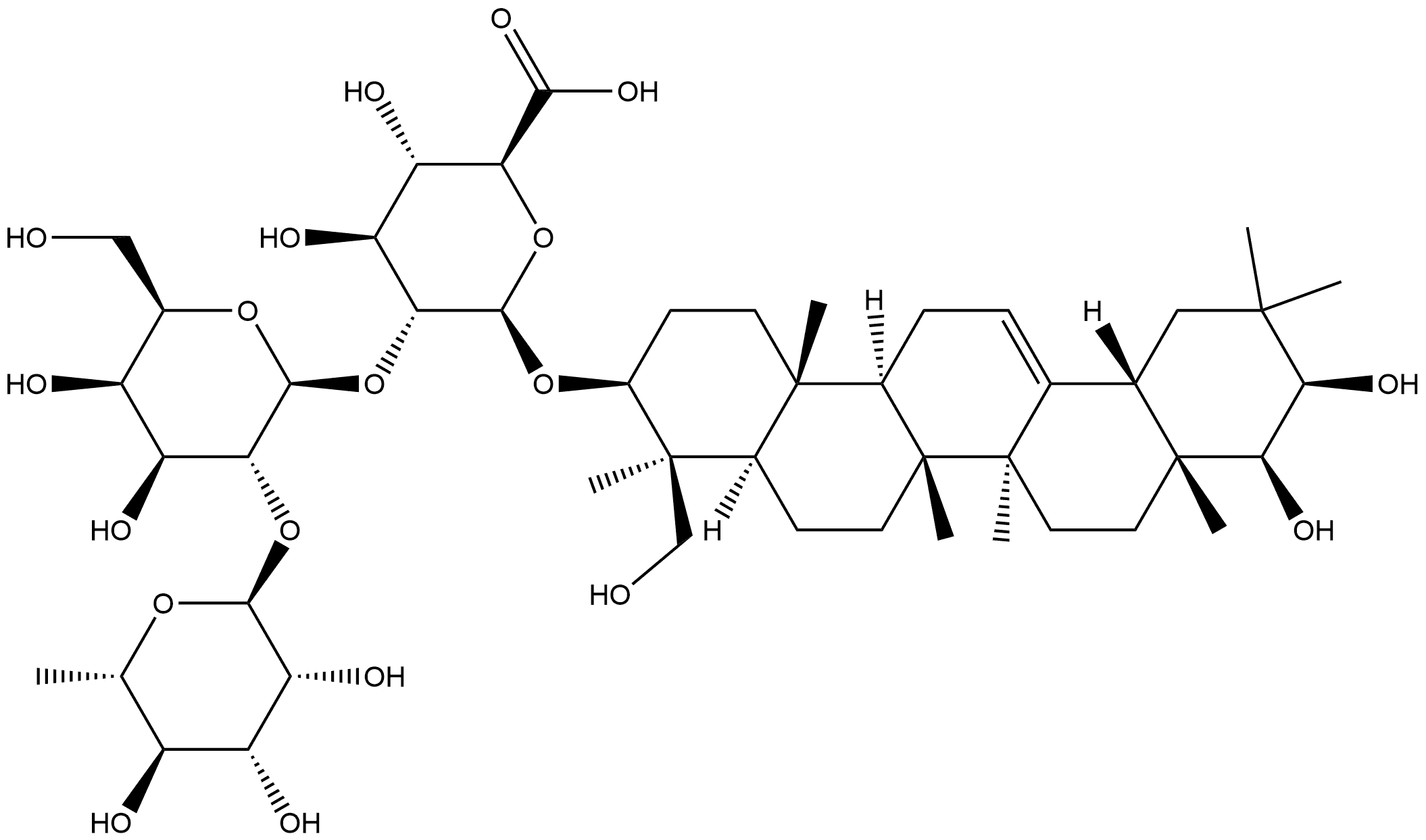
β-D-Glucopyranosiduronic acid, (3β,4β,21β,22β)-21,22,23-trihydroxyolean-12-en-3-yl O-6-deoxy-α-L-mannopyranosyl-(1→2)-O-β-D-galactopyranosyl-(1→2)-
产品纠错
CAS号:114077-04-2 | 英文名称:β-D-Glucopyranosiduronic acid, (3β,4β,21β,22β)-21,22,23-trihydroxyolean-12-en-3-yl O-6-deoxy-α-L-mannopyranosyl-(1→2)-O-β-D-galactopyranosyl-(1→2)-
分子式
分子量
EINECS号
MDL
Smiles
InChIKey
β-D-Glucopyranosiduronic acid, (3β,4β,21β,22β)-21,22,23-trihydroxyolean-12-en-3-yl O-6-deoxy-α-L-mannopyranosyl-(1→2)-O-β-D-galactopyranosyl-(1→2)-化学百科
基本信息
中文名称 β-D-Glucopyranosiduronic acid, (3β,4β,21β,22β)-21,22,23-trihydroxyolean-12-en-3-yl O-6-deoxy-α-L-mannopyranosyl-(1→2)-O-β-D-galactopyranosyl-(1→2)-
英文名称 β-D-Glucopyranosiduronic acid, (3β,4β,21β,22β)-21,22,23-trihydroxyolean-12-en-3-yl O-6-deoxy-α-L-mannopyranosyl-(1→2)-O-β-D-galactopyranosyl-(1→2)-
CAS号 114077-04-2
分子式 C48H78O19
分子量 959.12
物化性质
安全信息
生产及用途
上下游产品
上游产品共计:0
下游产品共计:0
相关产品
产品供应商