您好!欢迎来到化工e站网 登录 注册
我的EWeb ▼
导航菜单 ▼
中文 ▼
医药中间体
无机化工
有机原料
原料药
染料及颜料
表面活性剂
香精与香料
化学试剂
食品添加剂
催化剂及助剂
分析化学
首页 化工产品目录 1H-Pyrazole-1-ethanethioamide, 4-ethynyl-N-methyl-α-[(3,3,3-trifluoropropyl)sulfonyl]-
1135493-50-3
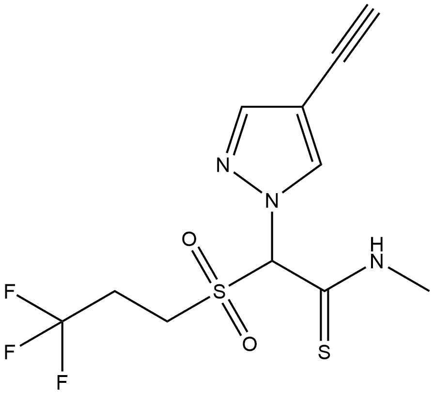
1H-Pyrazole-1-ethanethioamide, 4-ethynyl-N-methyl-α-[(3,3,3-trifluoropropyl)sulfonyl]-
产品纠错
CAS号:1135493-50-3 | 英文名称:1H-Pyrazole-1-ethanethioamide, 4-ethynyl-N-methyl-α-[(3,3,3-trifluoropropyl)sulfonyl]-
分子式 C11H12F3N3O2S2
分子量 339
EINECS号
MDL
Smiles
InChIKey
1H-Pyrazole-1-ethanethioamide, 4-ethynyl-N-methyl-α-[(3,3,3-trifluoropropyl)sulfonyl]-化学百科
基本信息
中文名称 1H-Pyrazole-1-ethanethioamide, 4-ethynyl-N-methyl-α-[(3,3,3-trifluoropropyl)sulfonyl]-
英文名称 1H-Pyrazole-1-ethanethioamide, 4-ethynyl-N-methyl-α-[(3,3,3-trifluoropropyl)sulfonyl]-
CAS号 1135493-50-3
分子式 C11H12F3N3O2S2
分子量 339.36
物化性质
安全信息
生产及用途
上下游产品
上游产品共计:0
下游产品共计:0
相关产品
产品供应商