您好!欢迎来到化工e站网 登录 注册
我的EWeb ▼
导航菜单 ▼
中文 ▼
医药中间体
无机化工
有机原料
原料药
染料及颜料
表面活性剂
香精与香料
化学试剂
食品添加剂
催化剂及助剂
分析化学
首页 化工产品目录 Benzenemethanol, α-hexyl-2-[(tributylstannyl)methyl]-
113431-29-1
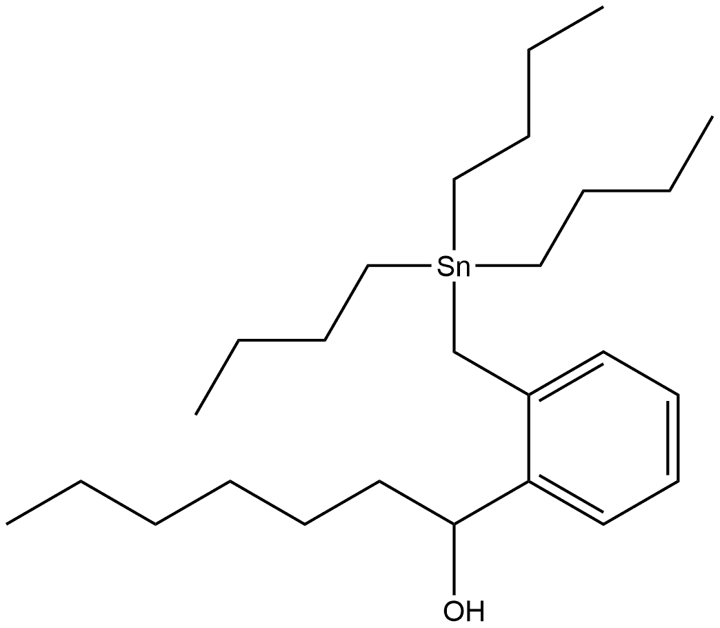
Benzenemethanol, α-hexyl-2-[(tributylstannyl)methyl]-
产品纠错
CAS号:113431-29-1 | 英文名称:Benzenemethanol, α-hexyl-2-[(tributylstannyl)methyl]-
分子式
分子量
EINECS号
MDL
Smiles
InChIKey
Benzenemethanol, α-hexyl-2-[(tributylstannyl)methyl]-化学百科
基本信息
中文名称 Benzenemethanol, α-hexyl-2-[(tributylstannyl)methyl]-
英文名称 Benzenemethanol, α-hexyl-2-[(tributylstannyl)methyl]-
CAS号 113431-29-1
分子式 C26H48OSn
分子量 495.37
物化性质
安全信息
生产及用途
上下游产品
上游产品共计:0
下游产品共计:0
相关产品
产品供应商