您好!欢迎来到化工e站网 登录 注册
我的EWeb ▼
导航菜单 ▼
中文 ▼
医药中间体
无机化工
有机原料
原料药
染料及颜料
表面活性剂
香精与香料
化学试剂
食品添加剂
催化剂及助剂
分析化学
首页 化工产品目录 L-Alanine, L-seryl-L-prolyl-L-leucyl-L-α-glutamyl-L-α-aspartyl-L-leucyl-L-seryl-L-prolyl-L-cysteinyl-L-prolyl-
1133962-24-9
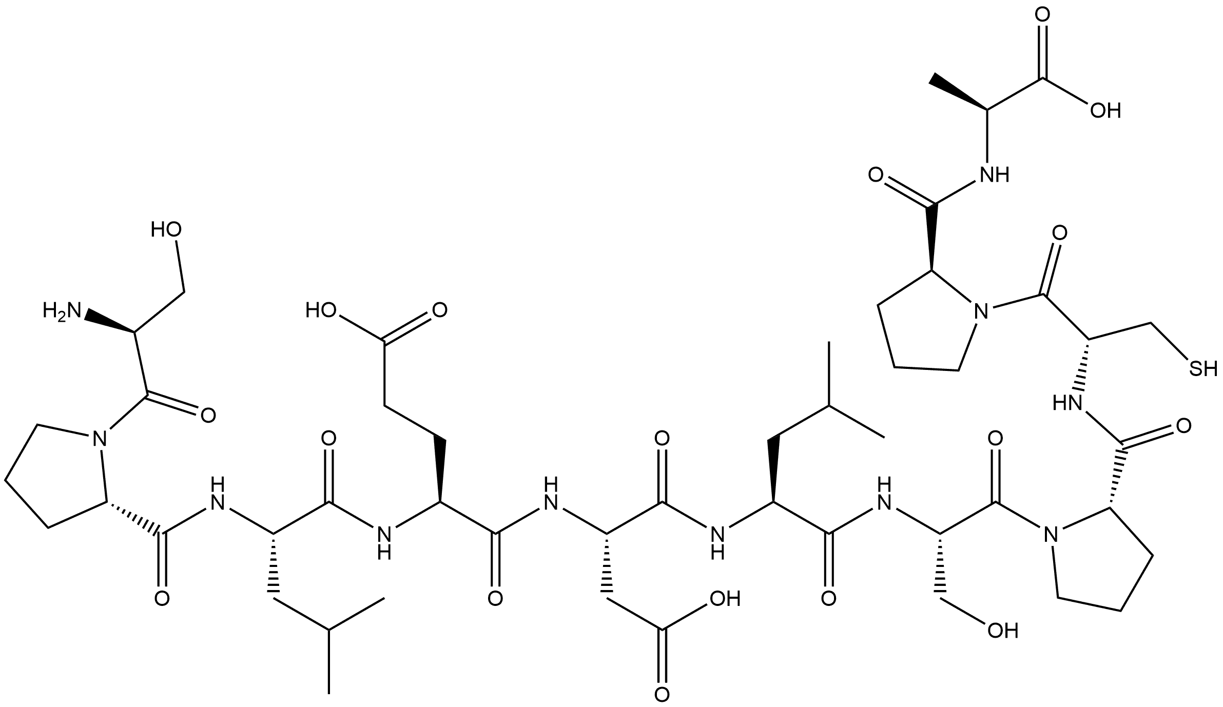
L-Alanine, L-seryl-L-prolyl-L-leucyl-L-α-glutamyl-L-α-aspartyl-L-leucyl-L-seryl-L-prolyl-L-cysteinyl-L-prolyl-
产品纠错
CAS号:1133962-24-9 | 英文名称:L-Alanine, L-seryl-L-prolyl-L-leucyl-L-α-glutamyl-L-α-aspartyl-L-leucyl-L-seryl-L-prolyl-L-cysteinyl-L-prolyl-
分子式
分子量
EINECS号
MDL
Smiles
InChIKey
L-Alanine, L-seryl-L-prolyl-L-leucyl-L-α-glutamyl-L-α-aspartyl-L-leucyl-L-seryl-L-prolyl-L-cysteinyl-L-prolyl-化学百科
基本信息
中文名称 L-Alanine, L-seryl-L-prolyl-L-leucyl-L-α-glutamyl-L-α-aspartyl-L-leucyl-L-seryl-L-prolyl-L-cysteinyl-L-prolyl-
英文名称 L-Alanine, L-seryl-L-prolyl-L-leucyl-L-α-glutamyl-L-α-aspartyl-L-leucyl-L-seryl-L-prolyl-L-cysteinyl-L-prolyl-
CAS号 1133962-24-9
分子式 C48H77N11O18S
分子量 1128.25
物化性质
安全信息
生产及用途
上下游产品
上游产品共计:0
下游产品共计:0
相关产品
产品供应商