您好!欢迎来到化工e站网 登录 注册
我的EWeb ▼
导航菜单 ▼
中文 ▼
医药中间体
无机化工
有机原料
原料药
染料及颜料
表面活性剂
香精与香料
化学试剂
食品添加剂
催化剂及助剂
分析化学
首页 化工产品目录 Maytansine, 3-O-acetyl-3-O-de[2-(acetylmethylamino)-1-oxopropyl]-22-demethyl-
1131677-49-0
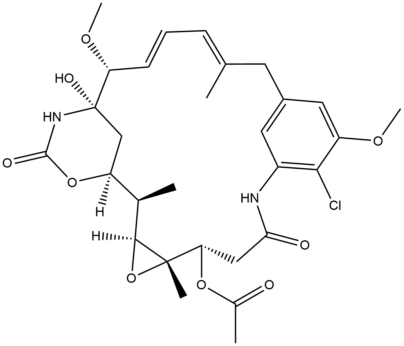
Maytansine, 3-O-acetyl-3-O-de[2-(acetylmethylamino)-1-oxopropyl]-22-demethyl-
产品纠错
CAS号:1131677-49-0 | 英文名称:Maytansine, 3-O-acetyl-3-O-de[2-(acetylmethylamino)-1-oxopropyl]-22-demethyl-
分子式
分子量
EINECS号
MDL
Smiles
InChIKey
Maytansine, 3-O-acetyl-3-O-de[2-(acetylmethylamino)-1-oxopropyl]-22-demethyl-化学百科
基本信息
中文名称 Maytansine, 3-O-acetyl-3-O-de[2-(acetylmethylamino)-1-oxopropyl]-22-demethyl-
英文名称 Maytansine, 3-O-acetyl-3-O-de[2-(acetylmethylamino)-1-oxopropyl]-22-demethyl-
CAS号 1131677-49-0
分子式 C29H37ClN2O9
分子量 593.07
物化性质
安全信息
生产及用途
上下游产品
上游产品共计:0
下游产品共计:0
相关产品
产品供应商