您好!欢迎来到化工e站网 登录 注册
我的EWeb ▼
导航菜单 ▼
中文 ▼
医药中间体
无机化工
有机原料
原料药
染料及颜料
表面活性剂
香精与香料
化学试剂
食品添加剂
催化剂及助剂
分析化学
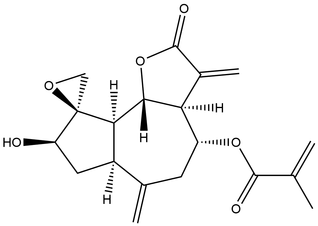
首页 化工产品目录 2-Propenoic acid, 2-methyl-, decahydro-8-hydroxy-3,6-bis(methylene)-2-oxospiro[azuleno[4,5-b]furan-9(2H),2'-oxiran]-4-yl ester, [3aR-(3aα,4α,6aα,8β,9β,9aα,9bβ)]- (9CI)
113033-15-1
2-Propenoic acid, 2-methyl-, decahydro-8-hydroxy-3,6-bis(methylene)-2-oxospiro[azuleno[4,5-b]furan-9(2H),2'-oxiran]-4-yl ester, [3aR-(3aα,4α,6aα,8β,9β,9aα,9bβ)]- (9CI)
产品纠错
CAS号:113033-15-1 | 英文名称:2-Propenoic acid, 2-methyl-, decahydro-8-hydroxy-3,6-bis(methylene)-2-oxospiro[azuleno[4,5-b]furan-9(2H),2'-oxiran]-4-yl ester, [3aR-(3aα,4α,6aα,8β,9β,9aα,9bβ)]- (9CI)
分子式
分子量
EINECS号
MDL
Smiles
InChIKey
2-Propenoic acid, 2-methyl-, decahydro-8-hydroxy-3,6-bis(methylene)-2-oxospiro[azuleno[4,5-b]furan-9(2H),2'-oxiran]-4-yl ester, [3aR-(3aα,4α,6aα,8β,9β,9aα,9bβ)]- (9CI)化学百科
基本信息
中文名称 2-Propenoic acid, 2-methyl-, decahydro-8-hydroxy-3,6-bis(methylene)-2-oxospiro[azuleno[4,5-b]furan-9(2H),2'-oxiran]-4-yl ester, [3aR-(3aα,4α,6aα,8β,9β,9aα,9bβ)]- (9CI)
英文名称 2-Propenoic acid, 2-methyl-, decahydro-8-hydroxy-3,6-bis(methylene)-2-oxospiro[azuleno[4,5-b]furan-9(2H),2'-oxiran]-4-yl ester, [3aR-(3aα,4α,6aα,8β,9β,9aα,9bβ)]- (9CI)
CAS号 113033-15-1
分子式 C19H22O6
分子量 346.37
物化性质
安全信息
生产及用途
上下游产品
上游产品共计:0
下游产品共计:0
相关产品
产品供应商