您好!欢迎来到化工e站网 登录 注册
我的EWeb ▼
导航菜单 ▼
中文 ▼
医药中间体
无机化工
有机原料
原料药
染料及颜料
表面活性剂
香精与香料
化学试剂
食品添加剂
催化剂及助剂
分析化学
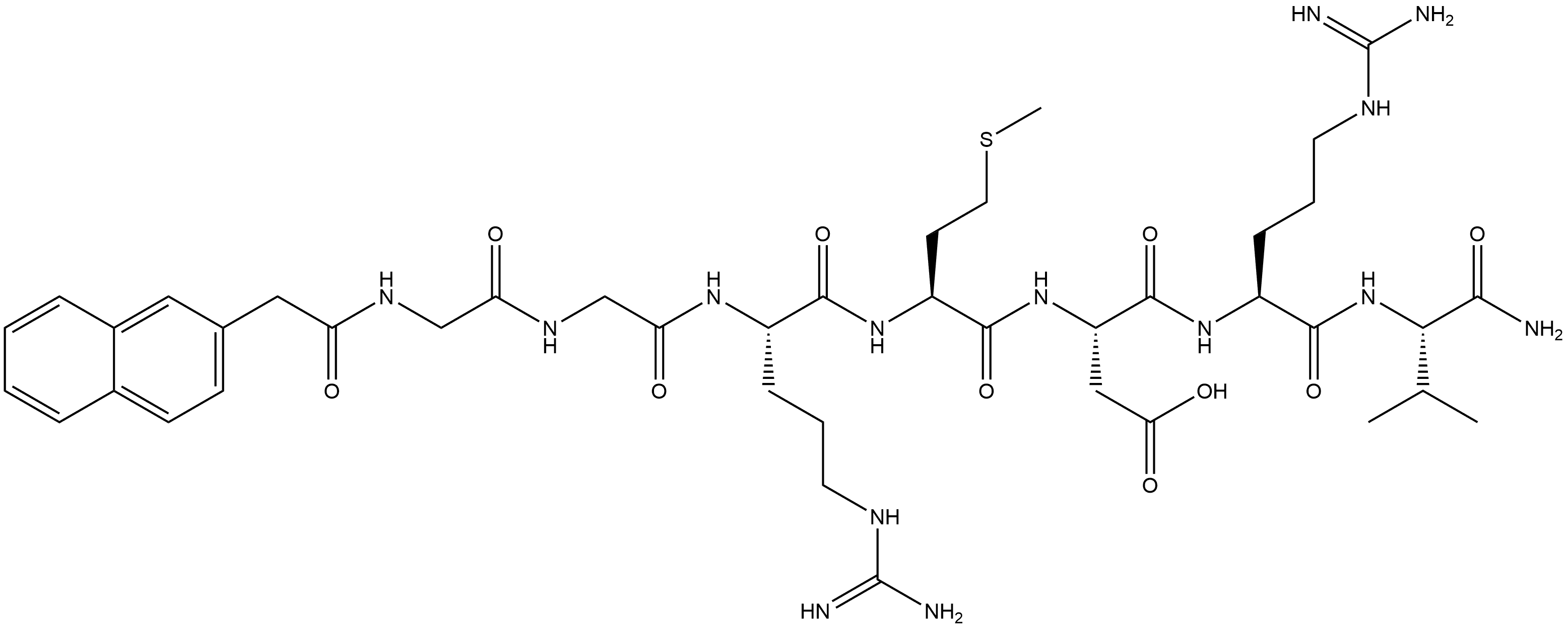
首页 化工产品目录 L-Valinamide, N-(2-naphthalenylacetyl)glycylglycyl-L-arginyl-L-methionyl-L-α-aspartyl-L-arginyl- (9CI)
112962-16-0
L-Valinamide, N-(2-naphthalenylacetyl)glycylglycyl-L-arginyl-L-methionyl-L-α-aspartyl-L-arginyl- (9CI)
产品纠错
CAS号:112962-16-0 | 英文名称:L-Valinamide, N-(2-naphthalenylacetyl)glycylglycyl-L-arginyl-L-methionyl-L-α-aspartyl-L-arginyl- (9CI)
分子式
分子量
EINECS号
MDL
Smiles
InChIKey
L-Valinamide, N-(2-naphthalenylacetyl)glycylglycyl-L-arginyl-L-methionyl-L-α-aspartyl-L-arginyl- (9CI)化学百科
基本信息
物化性质
安全信息
生产及用途
上下游产品
上游产品共计:0
下游产品共计:0
相关产品
产品供应商