您好!欢迎来到化工e站网 登录 注册
我的EWeb ▼
导航菜单 ▼
中文 ▼
医药中间体
无机化工
有机原料
原料药
染料及颜料
表面活性剂
香精与香料
化学试剂
食品添加剂
催化剂及助剂
分析化学
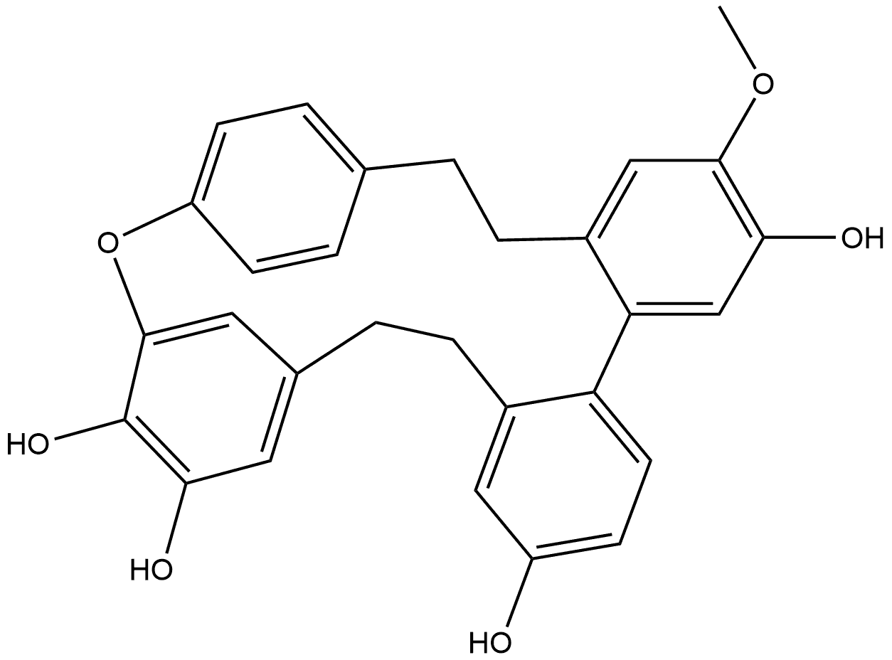
首页 化工产品目录 7,10-Etheno-12,16-metheno-16H-dibenz[h,j]oxacyclooctadecin-2,13,14,20-tetrol, 5,6,17,18-tetrahydro-3-methoxy-
112923-41-8
7,10-Etheno-12,16-metheno-16H-dibenz[h,j]oxacyclooctadecin-2,13,14,20-tetrol, 5,6,17,18-tetrahydro-3-methoxy-
产品纠错
CAS号:112923-41-8 | 英文名称:7,10-Etheno-12,16-metheno-16H-dibenz[h,j]oxacyclooctadecin-2,13,14,20-tetrol, 5,6,17,18-tetrahydro-3-methoxy-
分子式
分子量
EINECS号
MDL
Smiles
InChIKey
7,10-Etheno-12,16-metheno-16H-dibenz[h,j]oxacyclooctadecin-2,13,14,20-tetrol, 5,6,17,18-tetrahydro-3-methoxy-化学百科
基本信息
中文名称 7,10-Etheno-12,16-metheno-16H-dibenz[h,j]oxacyclooctadecin-2,13,14,20-tetrol, 5,6,17,18-tetrahydro-3-methoxy-
英文名称 7,10-Etheno-12,16-metheno-16H-dibenz[h,j]oxacyclooctadecin-2,13,14,20-tetrol, 5,6,17,18-tetrahydro-3-methoxy-
CAS号 112923-41-8
分子式 C29H26O6
分子量 470.51
物化性质
安全信息
生产及用途
上下游产品
上游产品共计:0
下游产品共计:0
相关产品
产品供应商