您好!欢迎来到化工e站网 登录 注册
我的EWeb ▼
导航菜单 ▼
中文 ▼
医药中间体
无机化工
有机原料
原料药
染料及颜料
表面活性剂
香精与香料
化学试剂
食品添加剂
催化剂及助剂
分析化学
112747-99-6
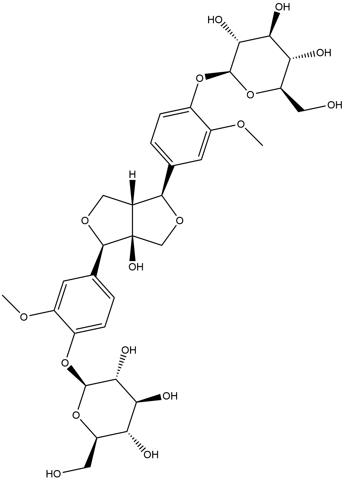
8-羟基松脂醇二葡萄糖苷
产品纠错
CAS号:112747-99-6 | 英文名称:β-D-Glucopyranoside, [[(3R,3aS,6S,6aR)-tetrahydro-3a-hydroxy-1H,3H-furo[3,4-c]furan-3,6-diyl]bis(2-methoxy-4,1-phenylene)]bis
分子式 C32H42O17
分子量 699
EINECS号
MDL
Smiles
InChIKey
8-羟基松脂醇二葡萄糖苷化学百科
基本信息
中文名称 β-D-Glucopyranoside, [[(3R,3aS,6S,6aR)-tetrahydro-3a-hydroxy-1H,3H-furo[3,4-c]furan-3,6-diyl]bis(2-methoxy-4,1-phenylene)]bis
英文名称 β-D-Glucopyranoside, [[(3R,3aS,6S,6aR)-tetrahydro-3a-hydroxy-1H,3H-furo[3,4-c]furan-3,6-diyl]bis(2-methoxy-4,1-phenylene)]bis
CAS号 112747-99-6
分子式 C32H42O17
分子量 698.67
物化性质
安全信息
生产及用途
上下游产品
上游产品共计:0
下游产品共计:0
相关产品
产品供应商