您好!欢迎来到化工e站网 登录 注册
我的EWeb ▼
导航菜单 ▼
中文 ▼
医药中间体
无机化工
有机原料
原料药
染料及颜料
表面活性剂
香精与香料
化学试剂
食品添加剂
催化剂及助剂
分析化学
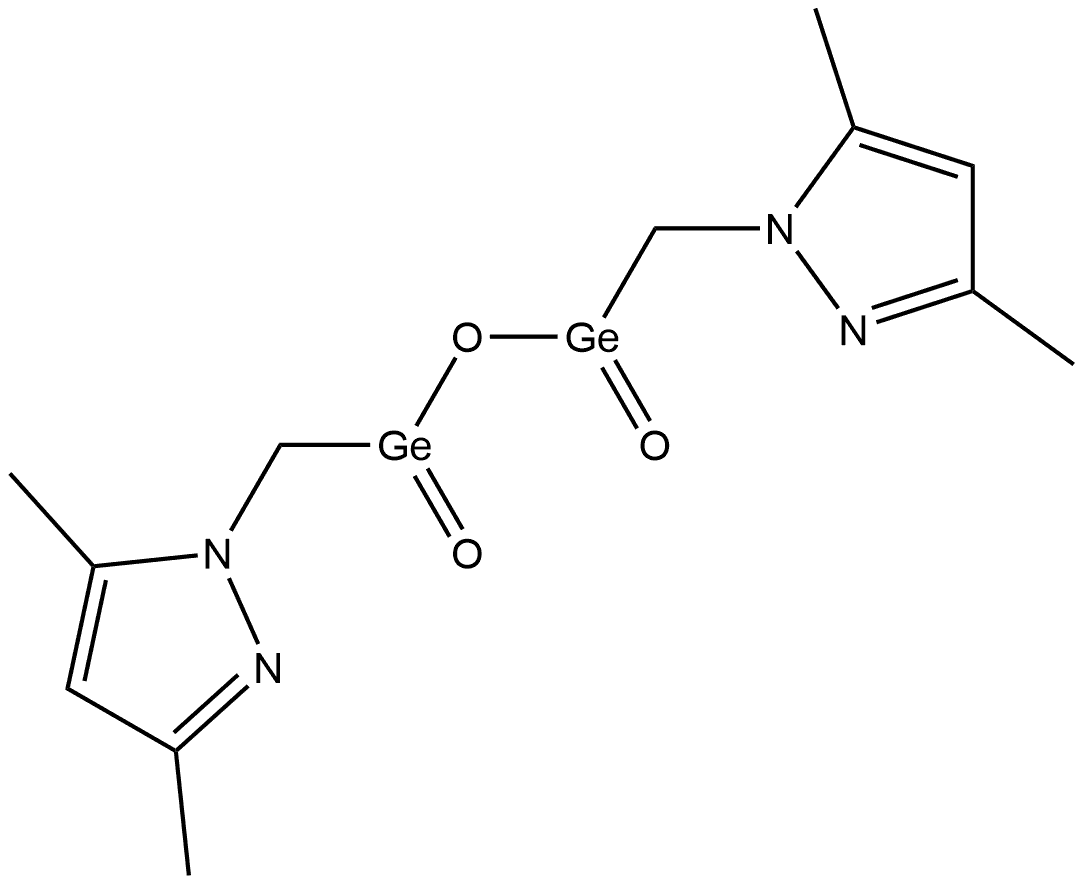
首页 化工产品目录 1H-Pyrazole, 1,1'-[(1,3-dioxo-1,3-digermoxanediyl)bis(methylene)]bis[3,5-dimethyl- (9CI)
112703-52-3
1H-Pyrazole, 1,1'-[(1,3-dioxo-1,3-digermoxanediyl)bis(methylene)]bis[3,5-dimethyl- (9CI)
产品纠错
CAS号:112703-52-3 | 英文名称:1H-Pyrazole, 1,1'-[(1,3-dioxo-1,3-digermoxanediyl)bis(methylene)]bis[3,5-dimethyl- (9CI)
分子式
分子量
EINECS号
MDL
Smiles
InChIKey
1H-Pyrazole, 1,1'-[(1,3-dioxo-1,3-digermoxanediyl)bis(methylene)]bis[3,5-dimethyl- (9CI)化学百科
基本信息
中文名称 1H-Pyrazole, 1,1'-[(1,3-dioxo-1,3-digermoxanediyl)bis(methylene)]bis[3,5-dimethyl- (9CI)
英文名称 1H-Pyrazole, 1,1'-[(1,3-dioxo-1,3-digermoxanediyl)bis(methylene)]bis[3,5-dimethyl- (9CI)
CAS号 112703-52-3
分子式 C12H18Ge2N4O3
分子量 411.58
物化性质
安全信息
生产及用途
上下游产品
上游产品共计:0
下游产品共计:0
相关产品
产品供应商