您好!欢迎来到化工e站网 登录 注册
我的EWeb ▼
导航菜单 ▼
中文 ▼
医药中间体
无机化工
有机原料
原料药
染料及颜料
表面活性剂
香精与香料
化学试剂
食品添加剂
催化剂及助剂
分析化学
首页 化工产品目录 1,4-Pentanediamine, N1,N1-diethyl-N4-[(17β)-3-methoxyestra-1,3,5(10)-trien-17-yl]-, (S)- (9CI)
112647-18-4
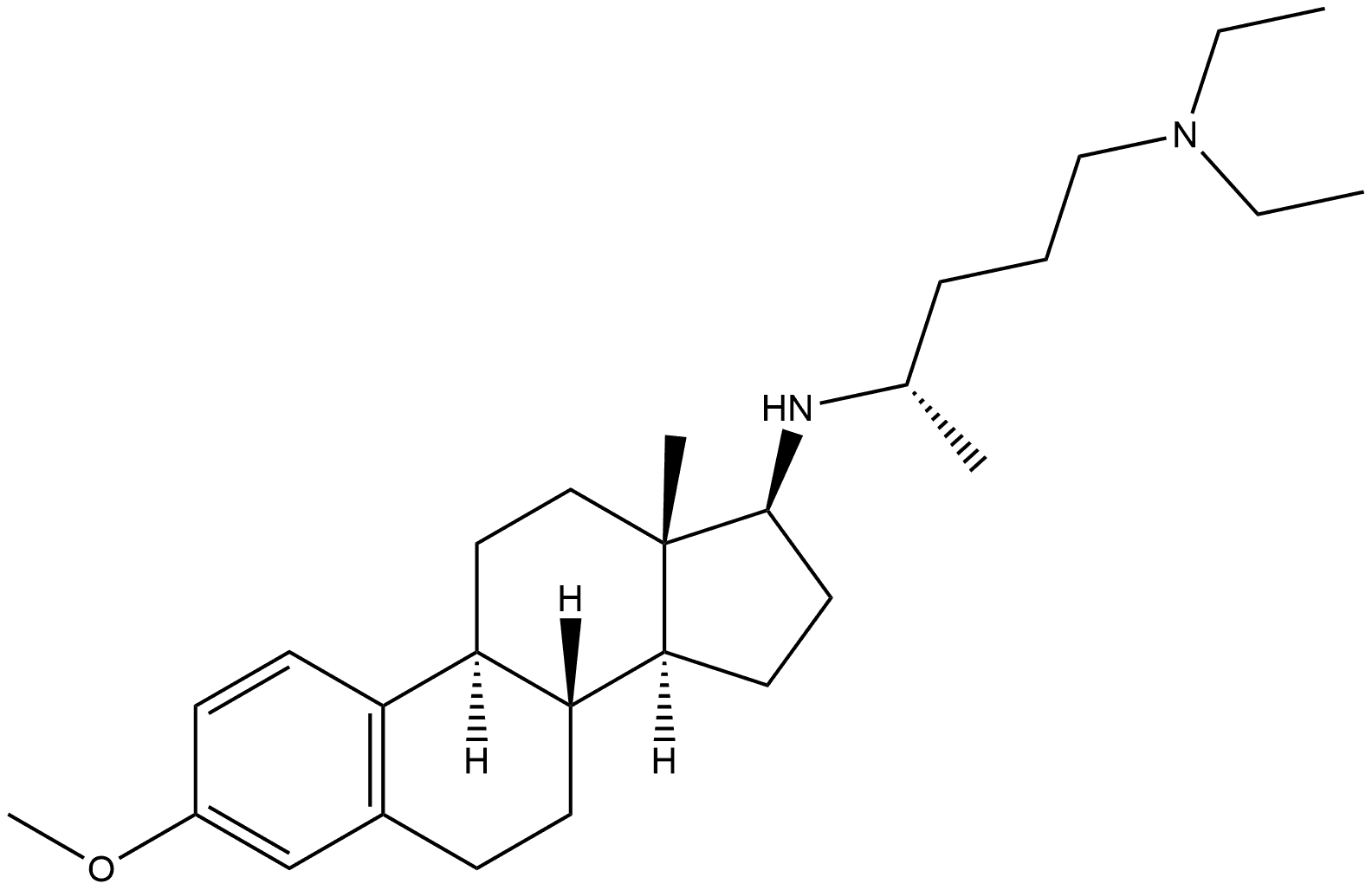
1,4-Pentanediamine, N1,N1-diethyl-N4-[(17β)-3-methoxyestra-1,3,5(10)-trien-17-yl]-, (S)- (9CI)
产品纠错
CAS号:112647-18-4 | 英文名称:1,4-Pentanediamine, N1,N1-diethyl-N4-[(17β)-3-methoxyestra-1,3,5(10)-trien-17-yl]-, (S)- (9CI)
分子式
分子量
EINECS号
MDL
Smiles
InChIKey
1,4-Pentanediamine, N1,N1-diethyl-N4-[(17β)-3-methoxyestra-1,3,5(10)-trien-17-yl]-, (S)- (9CI)化学百科
基本信息
中文名称 1,4-Pentanediamine, N1,N1-diethyl-N4-[(17β)-3-methoxyestra-1,3,5(10)-trien-17-yl]-, (S)- (9CI)
英文名称 1,4-Pentanediamine, N1,N1-diethyl-N4-[(17β)-3-methoxyestra-1,3,5(10)-trien-17-yl]-, (S)- (9CI)
CAS号 112647-18-4
分子式 C28H46N2O
分子量 426.68
物化性质
安全信息
生产及用途
上下游产品
上游产品共计:0
下游产品共计:0
相关产品
产品供应商