您好!欢迎来到化工e站网 登录 注册
我的EWeb ▼
导航菜单 ▼
中文 ▼
医药中间体
无机化工
有机原料
原料药
染料及颜料
表面活性剂
香精与香料
化学试剂
食品添加剂
催化剂及助剂
分析化学
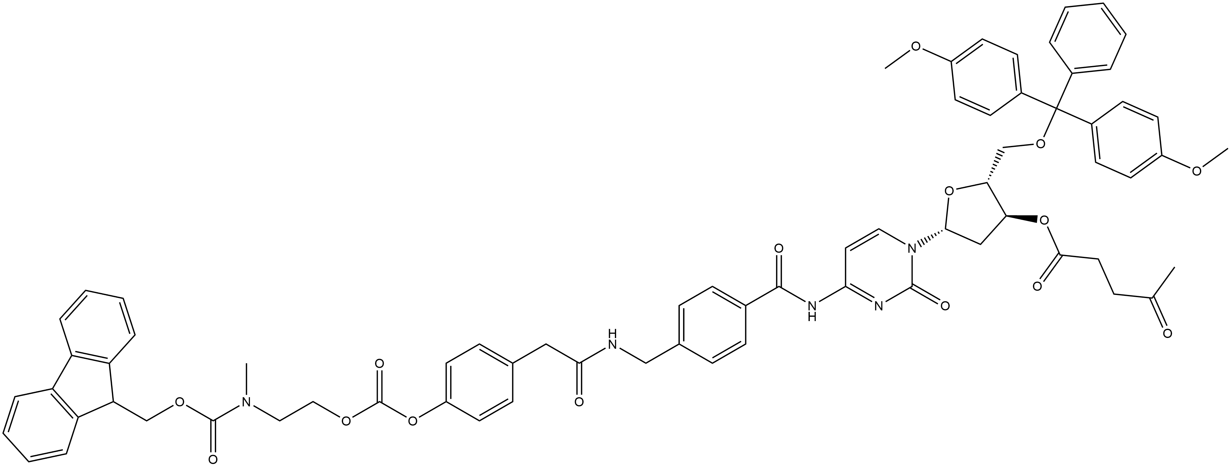
首页 化工产品目录 Pentanoic acid, 4-oxo-, (2R,3S,5R)-2-[[bis(4-methoxyphenyl)phenylmethoxy]methyl]-5-[4-[[4-[[[2-[4-[[[2-[[(9H-fluoren-9-ylmethoxy)carbonyl]methylamino]ethoxy]carbonyl]oxy]phenyl]acetyl]amino]methyl]benzoyl]amino]-2-oxo-1(2H)-pyrimidinyl]tetrahydro-3-furanyl ester
1125651-04-8
Pentanoic acid, 4-oxo-, (2R,3S,5R)-2-[[bis(4-methoxyphenyl)phenylmethoxy]methyl]-5-[4-[[4-[[[2-[4-[[[2-[[(9H-fluoren-9-ylmethoxy)carbonyl]methylamino]ethoxy]carbonyl]oxy]phenyl]acetyl]amino]methyl]benzoyl]amino]-2-oxo-1(2H)-pyrimidinyl]tetrahydro-3-furanyl ester
产品纠错
CAS号:1125651-04-8 | 英文名称:Pentanoic acid, 4-oxo-, (2R,3S,5R)-2-[[bis(4-methoxyphenyl)phenylmethoxy]methyl]-5-[4-[[4-[[[2-[4-[[[2-[[(9H-fluoren-9-ylmethoxy)carbonyl]methylamino]ethoxy]carbonyl]oxy]phenyl]acetyl]amino]methyl]benzoyl]amino]-2-oxo-1(2H)-pyrimidinyl]tetrahydro-3-furanyl ester
分子式
分子量
EINECS号
MDL
Smiles
InChIKey
Pentanoic acid, 4-oxo-, (2R,3S,5R)-2-[[bis(4-methoxyphenyl)phenylmethoxy]methyl]-5-[4-[[4-[[[2-[4-[[[2-[[(9H-fluoren-9-ylmethoxy)carbonyl]methylamino]ethoxy]carbonyl]oxy]phenyl]acetyl]amino]methyl]benzoyl]amino]-2-oxo-1(2H)-pyrimidinyl]tetrahydro-3-furanyl ester化学百科
基本信息
物化性质
安全信息
生产及用途
上下游产品
上游产品共计:0
下游产品共计:0
相关产品
产品供应商