您好!欢迎来到化工e站网 登录 注册
我的EWeb ▼
导航菜单 ▼
中文 ▼
医药中间体
无机化工
有机原料
原料药
染料及颜料
表面活性剂
香精与香料
化学试剂
食品添加剂
催化剂及助剂
分析化学
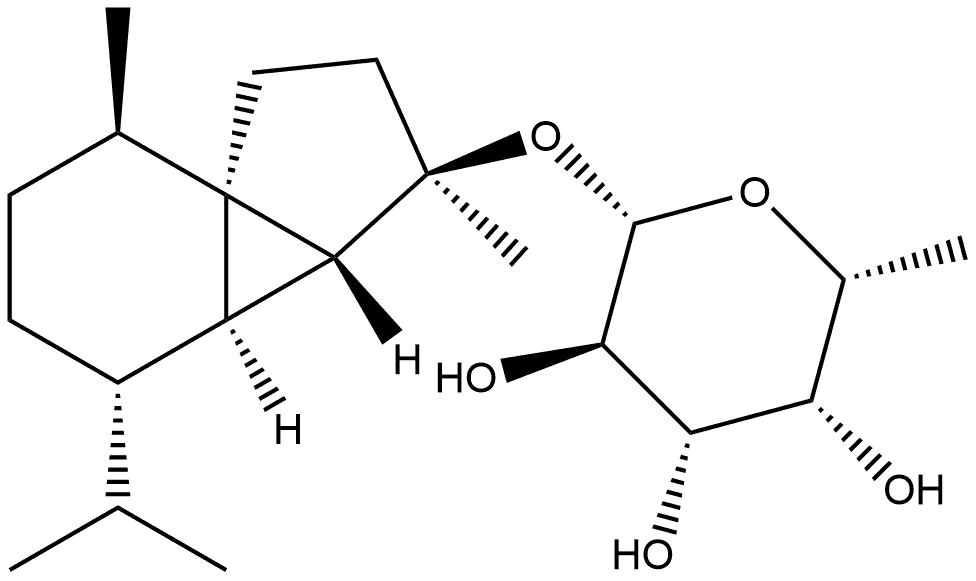
首页 化工产品目录 β-D-Galactopyranoside, (3R,3aR,3bR,4S,7R,7aR)-octahydro-3,7-dimethyl-4-(1-methylethyl)-1H-cyclopenta[1,3]cyclopropa[1,2]benzen-3-yl 6-deoxy- (9CI)
112543-27-8
β-D-Galactopyranoside, (3R,3aR,3bR,4S,7R,7aR)-octahydro-3,7-dimethyl-4-(1-methylethyl)-1H-cyclopenta[1,3]cyclopropa[1,2]benzen-3-yl 6-deoxy- (9CI)
产品纠错
CAS号:112543-27-8 | 英文名称:β-D-Galactopyranoside, (3R,3aR,3bR,4S,7R,7aR)-octahydro-3,7-dimethyl-4-(1-methylethyl)-1H-cyclopenta[1,3]cyclopropa[1,2]benzen-3-yl 6-deoxy- (9CI)
分子式 C21H36O5
分子量 369
EINECS号
MDL
Smiles
InChIKey
β-D-Galactopyranoside, (3R,3aR,3bR,4S,7R,7aR)-octahydro-3,7-dimethyl-4-(1-methylethyl)-1H-cyclopenta[1,3]cyclopropa[1,2]benzen-3-yl 6-deoxy- (9CI)化学百科
基本信息
中文名称 β-D-Galactopyranoside, (3R,3aR,3bR,4S,7R,7aR)-octahydro-3,7-dimethyl-4-(1-methylethyl)-1H-cyclopenta[1,3]cyclopropa[1,2]benzen-3-yl 6-deoxy- (9CI)
英文名称 β-D-Galactopyranoside, (3R,3aR,3bR,4S,7R,7aR)-octahydro-3,7-dimethyl-4-(1-methylethyl)-1H-cyclopenta[1,3]cyclopropa[1,2]benzen-3-yl 6-deoxy- (9CI)
CAS号 112543-27-8
分子式 C21H36O5
分子量 368.51
物化性质
安全信息
生产及用途
上下游产品
上游产品共计:0
下游产品共计:0
相关产品
产品供应商