您好!欢迎来到化工e站网 登录 注册
我的EWeb ▼
导航菜单 ▼
中文 ▼
医药中间体
无机化工
有机原料
原料药
染料及颜料
表面活性剂
香精与香料
化学试剂
食品添加剂
催化剂及助剂
分析化学
首页 化工产品目录 L-Glutamic acid, N-[4-[[(2,4-diamino-6-quinazolinyl)-2-propenylamino]methyl]benzoyl]-, bis(1,1-dimethylethyl) ester (9CI)
111742-51-9
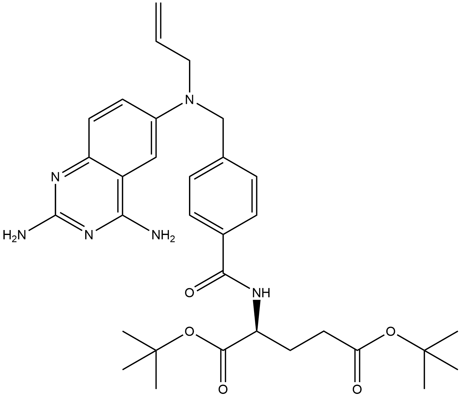
L-Glutamic acid, N-[4-[[(2,4-diamino-6-quinazolinyl)-2-propenylamino]methyl]benzoyl]-, bis(1,1-dimethylethyl) ester (9CI)
产品纠错
CAS号:111742-51-9 | 英文名称:L-Glutamic acid, N-[4-[[(2,4-diamino-6-quinazolinyl)-2-propenylamino]methyl]benzoyl]-, bis(1,1-dimethylethyl) ester (9CI)
分子式
分子量
EINECS号
MDL
Smiles
InChIKey
L-Glutamic acid, N-[4-[[(2,4-diamino-6-quinazolinyl)-2-propenylamino]methyl]benzoyl]-, bis(1,1-dimethylethyl) ester (9CI)化学百科
基本信息
中文名称 L-Glutamic acid, N-[4-[[(2,4-diamino-6-quinazolinyl)-2-propenylamino]methyl]benzoyl]-, bis(1,1-dimethylethyl) ester (9CI)
英文名称 L-Glutamic acid, N-[4-[[(2,4-diamino-6-quinazolinyl)-2-propenylamino]methyl]benzoyl]-, bis(1,1-dimethylethyl) ester (9CI)
CAS号 111742-51-9
分子式 C32H42N6O5
分子量 590.71
物化性质
安全信息
生产及用途
上下游产品
上游产品共计:0
下游产品共计:0
相关产品
产品供应商