您好!欢迎来到化工e站网 登录 注册
我的EWeb ▼
导航菜单 ▼
中文 ▼
医药中间体
无机化工
有机原料
原料药
染料及颜料
表面活性剂
香精与香料
化学试剂
食品添加剂
催化剂及助剂
分析化学
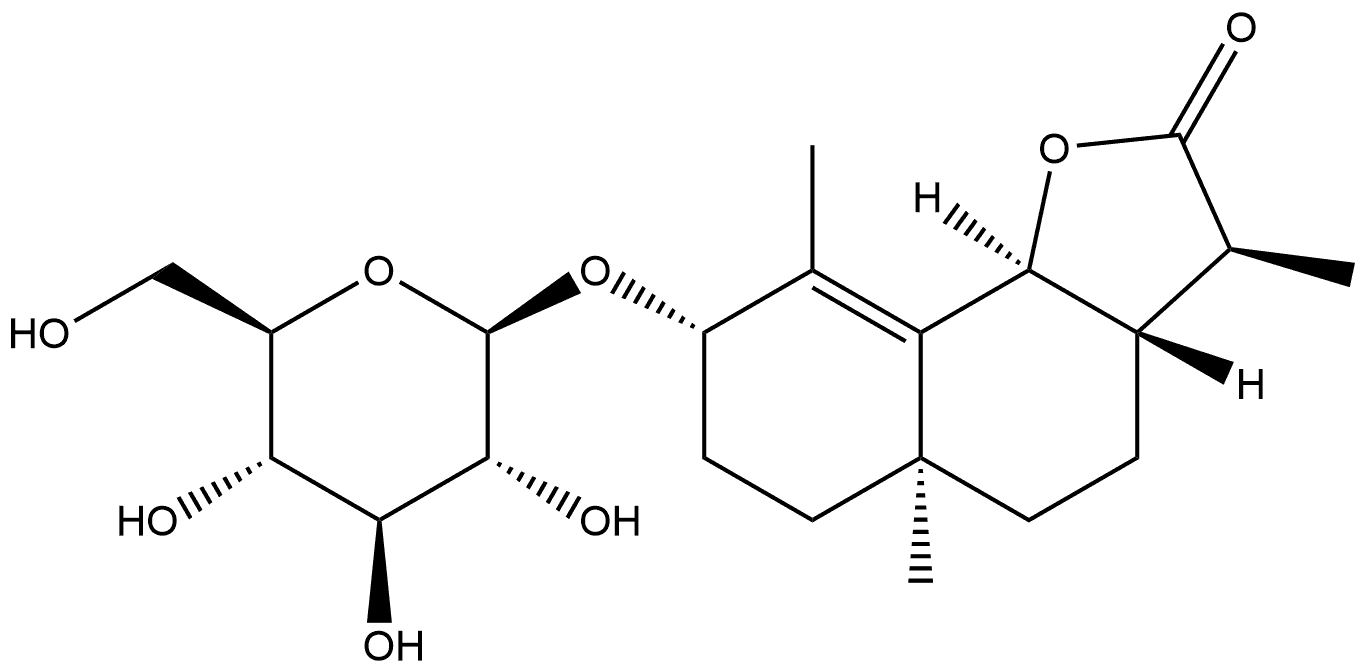
首页 化工产品目录 Naphtho[1,2-b]furan-2(3H)-one, 8-(β-D-glucopyranosyloxy)-3a,4,5,5a,6,7,8,9b-octahydro-3,5a,9-trimethyl-, (3S,3aS,5aS,8S,9bS)-
111618-84-9
Naphtho[1,2-b]furan-2(3H)-one, 8-(β-D-glucopyranosyloxy)-3a,4,5,5a,6,7,8,9b-octahydro-3,5a,9-trimethyl-, (3S,3aS,5aS,8S,9bS)-
产品纠错
CAS号:111618-84-9 | 英文名称:Naphtho[1,2-b]furan-2(3H)-one, 8-(β-D-glucopyranosyloxy)-3a,4,5,5a,6,7,8,9b-octahydro-3,5a,9-trimethyl-, (3S,3aS,5aS,8S,9bS)-
分子式
分子量
EINECS号
MDL
Smiles
InChIKey
Naphtho[1,2-b]furan-2(3H)-one, 8-(β-D-glucopyranosyloxy)-3a,4,5,5a,6,7,8,9b-octahydro-3,5a,9-trimethyl-, (3S,3aS,5aS,8S,9bS)-化学百科
基本信息
物化性质
安全信息
生产及用途
上下游产品
上游产品共计:0
下游产品共计:0
相关产品
产品供应商